日記 - 2003年12月

2003年12月31日 (水) - 仙台-0.8/8.1度,東京5.2/10.8度

卒業研究
 1〜2時間ほど紙とペンで数学したりプログラム弄ったりしました.ま,一応「学生やってるぞ」というところをアピールしとこうかなと.

マリオ
 SMワールドの方は,攻略サイトによると,クリアの仕方が全96通りあるらしく,まだやってなかったところは載っていた通りにやったので,終了.で,SM3を始めちゃいました.もうだめぽ.

換金
 つまらないのに惰性で長いこと買い続けてしまっていたアニメ・ポケットモンスターのフィルムコミックを売り払いました.ポケモン無印は全巻,ポケモンオレンジ諸島編は全巻,ポケモン金銀編は半分ほど揃っていました.購入価格は各750円×53冊で39,750円でした.売値は私の予想通り,各20円×53冊で1,060円でした.実は,古本を売るのは初体験.ま,売値は安いですが,良い厄介払いになりました.

大晦日
 大晦日らしい日記でなくてすんません.だって,本当にいつもと変わらない一日だったんですもの.

今日が誕生日の有名人(89) - KONISHIKI(1963年生・40歳)
 現役を引退しても体型は変わりませんねぇ.食生活が変わらないんでしょうか.それともイメージを崩さないために体型を維持する努力をしてるんでしょうか.

最近のニュース・新聞記事(230) - 紅白歌合戦

紅組白組
BoADOUBLEw-inds.Long Road
後藤真希オリビアを聴きながら175R空に唄えば
愛内里菜FULL JUMPEXILEChoo Choo TRAIN
長山洋子じょんがら女節山本譲二みちのくひとり旅
水森かおり鳥取砂丘山川豊函館本線
香西かおり無言坂前川清東京砂漠
モーニング娘。Go Girl
〜恋のヴィクトリー
GacktLast Song
松浦亜弥ね〜え?布施明君は薔薇より美しい
神野美伽浮雲ふたり鳥羽一郎兄弟船
石原詢子ふたり傘堀内孝雄
綾戸智絵テネシーワルツ伊藤多喜雄TAKIOのソーラン節
華原朋美ありがとね!谷村新司いい日旅立ち・西へ
ZONEsecret base
〜君がくれたもの
さだまさしたいせつなひと
女子十二楽坊自由そして荒城の月
【紅白合同】
錦織健自由そして荒城の月
【紅白合同】
安室奈美恵SO CRAZY森進一狼たちの遠吠え
浜崎あゆみNo way to say森山直太朗さくら (独唱)
一青窈もらい泣きゆず夏色など…
aikoえりあしTOKIOAMBITIOUS JAPAN!
Every Little Thingまた あしたはなわ
テツandトモ
佐賀県なんでだろう
〜スペシャル合体バージョン
島谷ひとみ元気を出してCHEMISTRYYOUR NAME NEBER GONE
小林幸子孔雀美川憲一さそり座の女2003
藤あや子曼珠沙華平井堅見上げてごらん夜空の星を
中島美嘉雪の華ゴスペラーズ新大阪
坂本冬美あばれ太鼓細川たかし浪花節だよ人生は
森山良子
夏川りみ
涙そうそう
【紅白合同】
BEGIN涙そうそう
【紅白合同】
倉木麻衣Stay by my side長渕剛しあわせになろうよ
和田アキ子古い日記2003 KOUHAKU Remix五木ひろし逢えて…横浜
石川さゆり能登半島北島三郎風雪ながれ旅
川中美幸おんなの一生
〜汗の花
氷川きよし白雲の城
天童よしみ美しい昔SMAP世界に一つだけの花

お知らせ
 明日からAirH"の電波が届かない田舎へ里帰りするので,その間の更新は停滞します.あしからず.



2003年12月30日 (火) - 仙台2.9/6.7度,東京5.3/13.1度

卒業研究をするつもりが…
 マリオの誘惑に負けて全く手を付けられませんでした.明日こそは…うーむ,もはや駄目ぽ無理ぽ.はてさて,SMワールド…いや,この略し方はまずいッスな…スーパーマリオワールドの全ステージを攻略したつもりなんですけど,攻略数95でMAXなんですか? ま,インターネットで検索すれば判ることと思われますが.

とっとこハム太郎劇場版「ハムハムハムージャ!幻のプリンセス」
 こないだ撮ったものを観ました.ミニハムず以外にもモーハムずとかゴハムとか出てました.ストーリーは,ま,それなりでした.キャストの気になるところがあったんですが,残念ながら録画予約ミスか何かで尻が切れていて….

他に今日やったこと
 名探偵コナン劇場版「迷宮の十字路」のフィルムコミックを読んで幼少和葉&灰原萌えとか,デジモン挿入歌ミラクルベストエボリューションに感化された所為かベストパートナーの20曲をPCに取り込むとか,弟の運転する車でのショッピングに付き合うとか,本屋に寄ったときに萌えたんの英単語帳をチラリと探してしまったりとか,カップラ購入序でに研究室へ持っていくとか,お年取りでチュウハイを少し飲んでみるとか,その席で早速お年玉を貰うとか,わりといろんなことを….

今日が誕生日の有名人(88) - タイガー・ウッズ(1975年生・28歳)
 ゴルフの人.氏名に敢えて漢字を充てると阪神森林ですかね.

最近のニュース・新聞記事(229) - エチゼンクラゲ
 昨年末に北陸地方沿岸で大量発生したエチゼンクラゲ,海流に乗って津軽海峡を越え,東北地方沿岸にまで流れてきたかと思えば,今度は関東地方へも侵出ですか.



2003年12月29日 (月) - 仙台2.7/12.4度,東京2.6/13.5度

@M岡研究室
 今夜は高専の旧友との忘年会が駅前であるということで,駅前に出る序でに学校に寄っていきました.最近,大学のセキュリティが高くなり,夜間・早朝・休日はあらゆる入口が施錠されるようになり,開錠には学生証カードが必要になりました.今日,私はソレで初開錠…ということになりました.扉の横にバーコードバトラーのアレのようなものがあります.なるほど,ここに学生証を滑らすわけですな.デジモンテイマーズファンなら誰もが一度は口にするであろう台詞「カードスラッシュ!!」とともにウィーンと音がなり,開錠されました.カコ(・∀・)イイ!
 研究室では,冬休みにも拘わらずわりと多くの人に会い,カップラの売上金を回収し,マリオをやり,終了.そして駅前の集合場所へ.

@駅前
 待ち合わせ時刻よりもちょっと早くに着いたので,適当にフラフラ.駅前の様子は以前より少々変わっていました.大型雑貨店LOFTがあったり,駅裏のヨドカメへのリンクが変わっていたり….とりあえずEビル8Fのヲタ屋へ行ってみました.と,こないだ迷った挙げ句に買うのを断念した完全初回限定生産CD「デジモン挿入歌ミラクルベストエボリューション」が置いてあるではありませんか.結局買ってしまいましたよ.今まで購入したCDに収録されていないかも知れない曲が収録されていたんでね.つーか,知ってる曲かどうか曲名だけでは把握しきれていないという….

@忘年会
 ビールがさも当然のように瓶で出てきたり,隣の部屋の小僧が「アイスクリームまだですかぁ〜?」を連呼して煩かったりしましたが,ま,楽しい飲み会でした…という小学生にも書けそうな感想しか書けません.M岡研共用PC内にあったプロコン写真をプリントアウトしたものとか,ルービックキューブとかも持っていったので,そこそこ話題は提供できたと思いたいです.芋だんごは美味しかったです.カルピスは普通でした.

今日が誕生日の有名人(87) - 浅井健一(1964年生・39歳)
 ザテレビジョンの12/29日生まれの人々のコーナーに「'64浅井健一(AJICO)」とありました.AJICOって何ですか?

最近のニュース・新聞記事(228) - 新選組!
 別に最近のニュースでも新聞記事でもないんですが,来年の大河ドラマは「新選組!」らしいじゃないですか.新撰組というと,高専の近くにあった新鮮組という店と,アニメ・飛べイサミを思い出します.飛べイサミでは,花丘イサミ,月影トシ,雪見ソウシの3人が新撰組をやっているわけですが,私の中での新撰組はこちらの印象が強いので,オリジナルの3人の名前が思い出せません.えーと,近藤勇と土方歳三と沖田総司ですか.…スイマセン,激しくカンニングしました.



2003年12月28日 (日) - 仙台-2.7/6.9度,東京2.7/12.1度

卒業研究
 昨日も今日も卒論を書き進めていました.普通は,冬休み明けから研究フルスロットルになり,3月の最終発表の後,卒論作成となるみたいです.それを考えると,私の行動は何か間違っている気がします.いや,間違ってはいないんでしょうけど.


 私よりも一足先に社会人になった弟が,夕方,関東から帰ってきました.昨夜,「マリオやりたい.CPU300MHzだけどUSBとRS232CとPS/2とパラレルはあるから」というメールを送った所為かは知りませんが,弟はSFCのエミュレータを持ってきました.本を読んだり卒研やったりTVを見たりで忙しいんですが,折角持って来てくれたものを粗末にはできないので,とりあえずPCに入れるだけ入れてみました.そして,折角入れたのにそのまま放置するわけにはいかないので,とりあえずマリオを起動だけしてみました.そして,折角起動したのにそれだけというわけにはいかないので,とりあえずプレイしてみました.画面のコマ落ちやコントローラの効きに難がありましたが,ま,どうしても暇で暇で仕方ないということがあった場合は,やってみても良いかなと.

今日が誕生日の有名人(86) - トータス松本(1966年生・37歳)
 ウルフルズのボーカル.「トータス」という名の由来は不明.ウルフルズの曲でパッと思いつくのは「ガッツだぜ」「バンザイ」「明日があるさ」の3曲だけ.ダンディ坂野の「ゲッツだぜ」ってどうよ.

最近のニュース・新聞記事(227) - 辞書
 電子辞書の所為で売れ行き不振だそうです.調べたい語を打ち込んで検索する電子辞書の方が確かに楽ですし,コンパクトですしね.更に,インターネットに繋いでgoo等に行けば,その電子辞書すら不要ですからね.



2003年12月27日 (土) - 仙台-0.1/3.4度,東京0.7/8.6度

デジモン挿入歌ミラクルベストエボリューション
 とかいう名前の完全初回限定生産のCDが昨日発売されました.今までに発売されたデジモン関係のCDを全部コンプリートしてる私は,当然これも買う気でいました.しかし,昨日の夜までこれが発売されることをすっかり忘れていたんです.完全初回限定生産品なので,店に置いてある可能性はこの時点で限りなくゼロです.そこで私は考え,自分に問いかけました.モマエは本当にこのCDを買いたいのかと.このCDに収録されている曲は既に全て持っています.ぶっちゃけ,コンプリートしたいがためだけに買おうとしてるんじゃないかと.これに3000円くらい消費するぐらいなら,別のCDを買ったほうが明らかに有益ではないかと.そんなわけで,一回り大人になった気分で,このCDは買わないことにしました.
 …買わないことにしたつもりでしたが,車で外出する用事ができてしまったので,序でにCD屋に寄ってしまいました.運が良かったのか悪かったのか,そのCDは陳列されていませんでした.とりあえずホッとしました.しかし,代わりにONE PIECEやガンダムSEEDや犬夜叉の主題歌集に惹かれました.買いたい…でも….結局コレも買いませんでした.序で序でにそのCD屋の隣の本屋に行きました.と,私が唯一購読している漫画・名探偵コナンの特別編の新刊が出てたので,買い.更に,未だ買っていなかったコナン劇場版第7弾・迷宮の十字路のフィルムコミック上下巻と,ポケモン劇場版第6弾・七夜の願い星ジラーチのフィルムコミックも出ていたので,これも買い.この4冊で2750円也.フィルムコミックってカラーだから結構高かったのね.これを買ったことによる当面の問題は,卒研やらなくちゃという切迫の念をいかに抑え,読む時間をいかに確保するかということです.ザテレビジョンもアニメージュも未完読ですし.

とても悲しいお知らせがあります
 私事ではございますが,とても悲しいお知らせがあります.鋼の錬金術師第13話「焔VS鋼」の録画に失敗致しました.失敗の原因は解っています.全ては私が悪いんです.AV機器をこんな風に繋いだままにしていたのが悪いんです.

AV機器接続図
 私は,予め図中央のビデオデッキ(ステレオ)で17時15分からのヒカルの碁を,図右のビデオデッキ(VHS-HDD)で17時45分からの鋼の錬金術師を録画予約しました.しかし,ヒカルの碁は実際17時16分からだったらしく,テープ1本に13話を収めるために極力CMを挟みたくなかった私は,その1分で再度頭出しをし,手動で録画を開始したんです.ここが運命の分かれ道でした.ヒカ碁の録画開始から30分後,ワンタッチ録画ゆえに録画は自動的に停止しました.しかし,電源は自動的に切れません.一方,時を同じくして鋼の錬金術師の予約録画が開始されました.私はその頃,ちゃんと録画されるであろう鋼の錬金術師を楽しみにしながら隣室で夕食をとっていたので,この緊急事態に気付きません.@ヒカ碁デッキの電源が入っている.更に,Aテープの頭出しをやり直したために,ヒカ碁デッキの同軸線出力モードはアンテナ信号スルーではなくヒカ碁デッキ信号になっている.となると,B鋼デッキはアンテナ信号を得られない.C鋼の錬金術師が録画できない…というわけです.以前にも似たような過ちを犯したことがあるにも拘わらず,再発対策を怠り,気をつければ良いや的な甘い気持ちでいたのが祟ったのです.アンテナ信号をパラレルに入れられれば良いんだけどなぁ….

今日が誕生日の有名人(85) - 折笠富美子(1974年生・30歳)
 声優.GTOの冬月先生の役が最初の声優の仕事.現在はサクラさん@ハム太郎,みかん@あたしンち,シェリー@ガッシュ,シルヴィー@ナージャとか.折笠さん自体は私的C級ですが,デジモンテイマーズの牧野留姫はS級.もうだめ.

最近のニュース・新聞記事(226) - 中国でもイランでも
 天然ガスを取り出すところで硫化水素ガスが吹き出て300人近くがアレ@中国とか,M6.3の地震で4000人近くがアレ@イランとか,いろいろ大変そうです.



2003年12月26日 (金) - 仙台4.3/8.8度,東京8.9/13.4度

睡眠
 いつもは23時に寝て3時半に起きていたため,4時間半ほどの睡眠時間でした.しかし昨夜は,疲れが溜まっていたのか,それとも冬休み突入でホッとしたのか,11時間も寝ました.とは言え,昨夜の就寝時刻がいつもより1時間半早い21時半だった上,新聞配達が休みで,更に少し遅く起きたというだけで,決して昼頃まで寝ていたわけではありません.起床時刻は8時半.


 病院へ行ってきました,歯の.こないだの調整の様子見ということで,数分で診察終了.寧ろ,待ち時間等が無駄過ぎ.

卒研とか
 アニメを観る,祖母を買い物に連れて行く,卒研するで今日という日が終了した気がします.卒研は,なんだか喜ばしい結果が得られないので,とりあえず今までのところまでで卒論を書き始めようかと思ったり思わなかったり.もしくは,研究しようとしていた2本柱の内,2つ目の方に進んでみようかなと.

今日が誕生日の有名人(84) - 徳川家康(1542年生・461歳)
 ニュートンさんより丁度100歳年上.

最近のニュース・新聞記事(225) - 「曽」
 という漢字を使った子供の名前の届けが不受理とされ,それを不服として申し立てた裁判で受理が認められたそうです.初めに不受理された理由は,子供の名前に使える漢字の一覧に「曽」が無かったためだそうです.この一覧は,子供の名前には常用平易な文字を用いなければならないという戸籍法に則って,法務省が定めたもの.そもそも「曽」が常用平易でないということ自体おかしいと思いますが.



2003年12月25日 (木) - 仙台3.4/14.0度,東京5.9/14.6度

クリスマス
 …ですが,矢張りいつもと全く変わりありません.夕食がチーズケーキと冷めたピッザァだったくらいですかね.BGMは相変わらずクリスマスしてますけど.TVはどうなんでしょうかね.基本的にアニメしか観てませんし.つーか,ザテレビジョン正月特大号を読むとか,アニメージュを読むとかで,わりと忙しいというかなんと言うか….一方,妹は昼から明日まで友達と一緒です.社交的ですな.私も見習わなければならないとだけ思ってみたりしちゃう可能性もなきにしもあらずかも知れない恐れがあります.

@M岡研究室
 共用マシンに入っている昔のデジカメデータを見ていたら,今いる先輩の隣に懐かしい顔が….うちの大学で行われ,M岡研が進行係を務めたっぽいプログラミングコンテストの様子を撮影したものだったんですが,そこに高専の同級生が写っていたのです.一つ上の先輩が写っていることから,このプロコンは去年,私が大学3年生のときに行われたものだということが解ります.S織さんやS原君やK吏君やT村君が写っていました.思わず自分のマシンにデータを持ってきたので,その内,旧友の集うBBS辺りにアップロードしときましょうかね.
 明日は16時半から歯医者の予約が入っているので,いつも親が会社から帰る17時頃に合わせて車で送ってもらっている自分としては,明日から冬休みにするのが妥当かなというわけで,冬休み突入.自分おめ.しかし,昔ほど長期休暇に喜びを見出せません.逆に,学校に行かないことに不安を感じてしまいます.果たして卒業研究は…と.

卒業研究
 今日退治したバグは手ごわかったです.その上,退治したは良いものの,計算結果としてあまり期待したものが得られなかったという….

今日が誕生日の有名人(83) - アイザック・ニュートン(1642年生・361歳)
 物理学者です.具体的に彼のしたことは解りませんが,恐らく,力の単位のニュートン,ニュートンの運動法則,波の干渉によってできるニュートンリング等が関係してくることでしょう.間違いない(長井秀和).今思えば,私が小学生だった頃,学校の科学クラブを「ニュートンクラブ」と呼んでいたんですが,ここから来てたんでしょうね.

最近のニュース・新聞記事(224) - セルフレジ
 人件費削減のため,セルフレジ方式のスーパーが米国に現れたそうです.買い物客が自ら商品のバーコードをリーダに読ませ,表示された代金を投入するというもの.性悪説で考えるとありえない方式ですけど.



2003年12月24日 (水) - 仙台7.0/13.2度,東京5.2/16.1度

クリスマスイヴ
 …ですが,いつもと全く変わりません.今年は暖冬ゆえホワイトクリスマスとは程遠くて過ごしやすいですね.

ブラックジャック
 こないだTV放映されていたのを観ました.普通に面白かったです.水谷優子声の舌足らずの幼女ピノコには全く萌えましぇん.「鉄腕アトムじゃあるまいし」というような洒落た台詞は大好きです.解説するまでもなく手塚治虫繋がりというわけ.

@M岡研究室
 今日のあの時間にあの場にいなかった人には申し訳ないですが,先輩が買ってきたクリスマスケーキを食べました.美味なり.
 なぜかガンダムシリーズの動画が入っている共用マシンのスピーカ出力端子と,自分のノートPCのLINE入力端子を繋ぎ,OP曲とED曲をキャプチャしました.その数16曲.どうせなら動画から音声を抽出してmp3化して持ってくれば良いという話ですが,私のPCには生憎LANに繋げる環境が無く,かといってFDでいちいち運ぶのもどうかということで,結局いつも通りの方法でキャプチャ.曲を止めることなく高速に歌詞を打ち込んだ後,それを修正をする際,本来は「燃えるときめきは…」と変換されるべき部分が,「萌えるトキメキは…」と適当に変換されていたのを見つけました.さすが私のPCの辞書.「もえ」という読みに対しては「萌え」がデフォの変換になっているとみた.

今日が誕生日の有名人(82) - トミーズ雅(1959年生・44歳)
 伊東家の食卓等で見かけます.私の母と同い年ですか.トミーズといったらお笑いコンビですが,相方の名前がなかなか思い出せません.えーと,…トミーズ健でしたっけ.こちらの方はあまり見かけませんね.まさかとっくに芸能界を引退?

最近のニュース・新聞記事(223) - サンタクロース気取り
 名古屋テレビ塔の展望台から,26歳無職の男が100万円相当の1ドル札等を撒いたそうです.「株で大儲けしたから世間に還元したかった」「クリスマスプレゼントに撒いたって誰も困らないじゃないか」「預金も一億円以上あり,26歳にしてコレだけのお金を持つと味気ない」等と話していたらしいです.その場にいたかった.そんな台詞を言ってみたい.そんな贅沢行為をやってみたい.とにかく羨ましいです.



2003年12月23日 (火) - 仙台8.1/12.9度,東京4.2/16.4度

卒業研究
 天皇誕生日なので学校には行かなかったんですが,毎日卒研してないと不安になるので,今日もプログラムを弄っていました.無駄にlong型にしてた変数をshort型に直すのが当初の目的だったんですが,付随するアレやコレを改めているうちに,かけこれ3時間くらいかかりました.しかも,途中で一度もコンパイルしてないので,エラーが大量に出てくる恐れもあります.いずれにせよ,卒研的に は全く進まなかったということで.
 ところで,いつまで学校に行こうかなと.殆んど拘束の無いM岡研では,休日もわりと自己責任で設けられるので,逆に悩んでしまいます.今週末が一応御用納めということになっているので,今週一杯は行きますかね.いや,金曜の16時半から歯医者の予約を入れたので,金曜から冬休みということにしましょうかね.

今日が誕生日の有名人(81) - 亀井絵里(1988年生・15歳)
 モー娘の一人ですが,まだ15歳ですか.一体日本はどうなってるの?と.ぶっちゃけ,もはやモー娘が何人になっているのかは解りません.因みに,今日は脚本家おちまさとという人の誕生日でもあるようですが,この2人と似てる名前の知人がいるんですけど.ま,ごく内輪なネタですが.

最近のニュース・新聞記事(222) - 今年生まれの赤ちゃんの命名
 男子1位は「大輝」で,2位は翔(前年2位),3位は大翔(前年27位)と翔太(前年5位),5位は匠(前年12位)だそうです.,女子1位は「陽菜」で,2位は七海(前年3位),3位はさくら(前年12位),4位は凛(前年8位),5位は美咲(前年1位)と葵(前年1位)だそうです.どうやら,「翔」という漢字が大人気なようですね.



2003年12月22日 (月) - 仙台1.3/11.7度,東京2.4/13.3度

決定!これが日本のベスト100 2時間スペシャル 決定!アニメ名場面大賞!!
 昨夜録画したものを観ました.ハードディスクビデオの不調のため,半分くらい録画したところで中断されていましたが,とりあえず,一番の目当てだった声優ランキング20は撮られていたので許します.どうせアニメの名場面なんて,ネロが死ぬところとか,上杉勝也が死ぬところとか,クララが立つところとか,ハッチが再会するところとか,ドラえもんが未来に帰るところとか,大体見当が付きますしね.
 ってなわけで,声優ランキングについて載せます.スタジオの有名人や客らがトリビア感動詞,いわゆる「へぇ」を連呼している中,それを見下ろす感じで見られるというのは気分が良いです.私の方も,世間の人達の認知度が解り,勉強になりました.番組でのランキングの発表と,そのときの私の心の声を,対応付けて書きたいと思います.なるべく解りやすいようにと,頭にはランキングとフェイズ番号を付けてみました.フェイズ1が番組か声優のヒント,フェイズ2が声優さん登場,フェイズ3以降が付加情報.

20-1 止まってオーム!宮崎アニメの常連
あ,これはナウシカか.つーことは,えーと,島本さんか.
20-2 ナウシカ役の島本須美さん登場
やっぱりね.
20-3 他のキャラ:音無響子(めぞん一刻),セーラ(小公女セーラ),クラリス(ルパン三世カリオストロの城)
ま,そーいやそーだったかなという感じかね.
20-4 意外なキャラ:しょくぱんまん(アンパンマン)
お,これはちょっと意外だ.うっかり負けたね.
19-1 天空の城ラピュタ
つーことは,シータでドラミちゃん(ドラえもん)のよこざわけい子さん…あるいはパズーの田中さんかね.
19-2 パズー役の田中真弓さん登場
よし,これも正解.
19-3 他のキャラ:半平太(ガンモ),コエンマ(幽遊白書)
そんな微妙な所を出さなくても….ワタル(魔神英雄伝ワタル)とかルフィ(ワンピース)とかあるだろうに.いや,番組の有名度と視聴者の年齢層を考えると妥当なところか…?
18-1 泥棒追い続けて32年
これはルパンだろうから,銭形のとっつあんだろうな.つーことは納谷六朗さん…いや,納谷悟朗さんの方かな.
18-2 銭形役の納谷悟朗さん登場
よし,OK牧場
17-1 クレヨンしんちゃん
これは…えーと,あの…誰だっけ,ほら,琥珀(犬夜叉)とかアクセス(ジャンヌ)とか…あれ? わりと好きな声優さんなんだけど,名前が出てこな…あ,矢島さんか.
17-2 しんのすけ役の矢島晶子さん(名前だけ)登場
ふぅ,セーフ
17-3 番外編:ひまわり「テッテッテッテ…」
はぁ,こおろぎさんね.
17-4 「良かったねゴマちゃん(アシベ=坂本千夏)」「きゅいーぅ(ゴマちゃん=こおろぎさとみ)」
へぇ.そーいやアシベは坂本千夏さんか.この声もわりと好き.
16-1ガンダムSEED
SEEDだったらキラ役の保志さんかアスラン役の石田さんだろうな.
16-2キラ役の保志総一朗さん登場
そろそろ意外性ギヴ
15-1 アルプス・キテレツ・ガンモに白鳥
これはコロ助の奴だな.えーと,誰だったかな.3人くらいが声優やってたような…えーと,小山まみさん? あ,ハイジだったら喜多道枝さんか!
15-1' 「クララのバカッ!」
いや,待て,この声は喜多さんじゃない.よく考えたら喜多さんはハイジじゃなくてネロ(フランダース)じゃないか.えーと,ほら,ボコモン(デジモンフロンティア)だよ.だから…
15-2 ハイジ役の杉山佳寿子さん登場
あ,そうだ! 時間切れぇー.ピブー
15-3 「可愛い丸っこいキャラクターが多いんですけど,実は美し系もやってるんですよ」:白鳥のジュン(ガッチャマン)
知らねぇよ.ガッチャマンは知ってるけど,キャラまで知らねぇ.時代が違う….
14-1 らんま1/2
とうとう林原めぐみさんか? それとも山口勝平さん?
14-2 乱馬(男)役の山口勝平さん登場
あ,こっちか
14-3 他のキャラ:工藤新一(名探偵コナン)
ま,有名だしね.
14-4 「真実はいつも一つ!」
やっぱりやっちまったよ.
13-1 ガンダムSEED
今度は石田さんか.
13-2 アスラン役の石田彰さん(写真だけ)登場
結構人気あるっぽいしね.最遊記とかでも.
12-1 となりのトトロ
これは日高のり子さんでしょ.んでもってタッチの話題に飛ぶとみた.
12-1' メイ役の…
ってこっちかYO!…となれば坂本さんでしょ.つーか,17位のゴマちゃんの時に出てきてるんですけど,スタジオの人達は気付けるかしら?
12-2 メイ役の坂本千夏さん登場
…やっぱり誰も気付いてないらしい.
11-1 エヴァンゲリオン
緒方恵美さんか宮村優子さんか…いや,やはりここは…
11-2 綾波役の林原めぐみさん(写真だけ)登場
でしょうね.って他のキャラの紹介は無しかよ.大分有名だぞ.大御所だぞ.忙しくて写真でしか登場できないくらいだぞ.
10-1 のび太と○○が同じ声!?
のび太といったら…ほら,また思い出せない…えーと…あ,小原さんか.となると,この○○に入るのは,ま,未来少年コナンってところですかね.有名有名.
10-2 コナン役でのび太役の小原乃梨子さん登場
うん,読み通り.
10-3 他のキャラ:ペーター(ハイジ),ドロンジョ(ヤッターマン)
あ,こいつがドロンジョっていうのか.これが小原さんっていうのは,のび太から行くと意外かも知れないけど,声だけ聞けば,ま,そんなもんかなと.別に驚くことでもない.
9-1 ルパン三世
またルパンか.あとは誰だ? 不二子ちゃんは有名だけど,声優の増山江威子さんはそんなに有名な方じゃない気がするし….消去法でいくと,栗貫さん辺りが妥当か?
9-2 ルパン役の栗田貫一さん登場
だろうね.
8-1 Gガンダム
アムロなのか? 古谷さんなのか? セイントセイヤに行くのか?
8-2 アムロ役の古谷徹さん(写真だけ)登場
ふぅ,古澤徹さんと間違えないかヒヤヒヤしたよ.
8-3 他のキャラ:星飛雄馬(巨人の星)
大分昔から頑張ってたのね.
7-1 魔女の宅急便
これは十中八九高山さんでしょ.トンボ役の山口勝平さんはもう出たし.で,名探偵コナンとかに話が飛ぶわけだ.
7-2 キキ役の高山みなみさん(写真だけ)登場
ふぅ,古澤徹さんと間違えないかヒヤヒヤしたよ.
7-3 他のキャラ:乱太郎(忍たま乱太郎)
そっちかよ….ま,確かに名探偵コナンはガイシュツですが.
6-1 キャプテンハーロック
知らないアニメ来ちゃった.これはもうお手上げッス.てひひひ.
6-1' ハーロック「俺はこの旗のもとに生きる」
ん? この声は…山寺さん?
6-2 ハーロック役の山寺宏一さん(写真だけ)登場
お,当たった.嬉ピー.
6-3 他のキャラ:チーズ(アンパンマン)
有名でしょ.…うわっ,スタジオの連中,驚いてやがる.
5-1 タッチ
達也役の三ツ谷雄二さんか? で,キテレツ大百科のトンガリに.いや,待てよ,そーいえばまだ日高さんが出てなかった.なるほど,タッチからトトロへ行くってか.
5-2 浅倉南役の日高のり子さん登場
ビンゴ
5-3 サツキ「まっくろくろすけ出ておいでー」
やぱーり.
4-1 北斗の拳
毛利小五郎(名探偵コナン)…じゃなくて,神谷さんですか.シティーハンターとかキン肉マンに行くのかしら? それともうる星やつらの面堂という微妙な辺り?
4-2 ケンシロウ役の神谷明さん登場
ビンゴ
3-1 今は亡き永遠の泥棒
まさか初代ルパン? もう亡くなったあの人.はて,声優さんの名前は何だったっけかなぁ.漢字四文字で苗字が簡単,名前が複雑だった気がするんだけど….
3-2 ルパン役の山田康雄さん(当然写真だけ)登場
よし,山田康雄さんね.記憶に留めるようにせねば.
2-1 少年役の女王 ○○も担当!?
このヒントの意味が解らない.つまり…?
2-1' 銀河鉄道999
あ,そうか.なるほど,野沢雅子さんね.確かに少年役の女王だ.となると,“○○も担当!?”ってのは,恐らくラスカルのことだろうな.
2-2 星野鉄郎役の野沢雅子さん登場
この人,よく見かけるなぁ.TV出過ぎなんじゃ….
2-3 他のキャラ:大左エ門(いなかっぺ大将),怪物くん(怪物くん),ひろし(ド根性ガエル)
え? 孫悟空は出さないの? 超有名なのに.ま,今や孫悟空といったらドラゴンボールじゃなくて最遊記の保志声の孫悟空ですかね.
2-4 意外なキャラ:ラスカル(あらいぐまラスカル)
やっぱりね.ま,スタジオのみんなが驚くのもこれなら頷ける.うーん,柴田理恵さんは相変わらず良いリアクションするなぁ.
1-1 この声ひと筋25年!世界的スター
え? 第1位なのに解らない.誰?
1-2 ドラえもん役の大山のぶ代さん登場
なるほど.確かに知名度はNo.1ですな.

今日が誕生日の有名人(80) - 吉村明宏(1957年生・46歳)
 最近見ない人.

最近のニュース・新聞記事(221) - 田村谷亮子さん3億円結婚披露宴の次は…
 女優・奥菜恵さんがIT長者と結婚ですか….俳優・石田純一さんが48歳でおじいちゃんになったというニュースもありましたし,最近の…というか貴理子結婚以降の芸能ニュースはめでたいのばかりな気がするんですけど….



2003年12月21日 (日) - 仙台1.4/5.8度,東京4.3/11.0度

クリスマスソング
 新聞配達中に無駄にイリュミネーションしてる家がたくさんあるなと思っていたら,そろそろクリスマスなんですね.ってなわけで,気分だけでもクリスマスしようということで,PCのBGMをクリスマス仕様にしました.今まではコレクションしたアニメソングから100個を選んでプレイリストに突っ込んでいたんですが,今度はクリスマスネタのデジモンCDの曲を突っ込みました.クリスマス仕様の曲はデジアド02に6曲,デジテイに6曲,デジフロに2曲ありました.どの曲も…というかどの声も懐かしかったです.買い物キャロルの「ベイベー,クリスマスだぜ」に笑うとか,サンタモンの歌の留姫「イエーイ」に萌えるとか,クルモンの英語の音痴でカワイコぶった歌の拙さにどうかと思ったり…という懐かしい感情もチラリズム.

混雑
 安いカップラを買いに車で出かけました.あまり混まない屋上駐車場に停めたんですが,帰りが大変.降り口に車が列を作っているんです.屋上駐車場は店前駐車場に繋がっていて,交通係は下の駐車場の車の流れを優先させるもんだから,屋上駐車場の車はなかなか外に出られないというわけ.ようやく一般道に出られたのは,車に乗り込んでから10分後.いつもだったらもう家に着いています.駐車場の出口附近には「混雑ゆえ屋上駐車場をご利用ください」とのプラカードを持った交通係がいました.あんたら,屋上駐車場降り口附近の車の行列を一回見てこいよと.

今日が誕生日の有名人(79) - 片岡鶴太郎(1954年生・49歳)
 絵を描くタレントさんですよね.一昔前までは,元ボクサーの渡嘉敷勝男さんと間違っていました.つーか,とても内輪な話なんですけど,つくづくM岡研の技官さんがこの人に似てるなぁと.

最近のニュース・新聞記事(220) - 心のノート
 心のノートという道徳補助教材があるそうです.国家が10億円以上をかけて制作し,国家検定も通さずに配布したということ自体問題ですが,その内容も賛否両論を呼んでいるようです.とても清く正しい内容らしいんです.確かに道徳教育としてはそうあるべきなんでしょうけど,あまりにも現実離れしているとか.一方,子供たちに大人気となったハリーポッターは,魔法という非現実的なところはあるにせよ,いじめや差別というリアルなところもあり,寧ろ心のノートの方がファンタジーなのではないかと.



2003年12月20日 (土) - 仙台0.1/4.3度,東京3.3/8.9度


 今季2〜3日目と思われる雪が降りました.しかも今回のは10cm近く積もりました.明朝の新聞配達は骨が折れそうです.

卒業研究
 私の卒研テーマは「フーリエ変換を用いた論理関数の雑音除去」です.雑音除去のアイデアが浮かんだので,早速プログラムを組んで検証したいと思ったのは14時頃のことでした.しかし,ファイルを開いた途端にいよいよゴチャゴチャしてきたプログラムが目に映り,もう少し整理しようと思い,今までコピペで済ませていたエラーチェックを関数化しました.とか何とかやっている内に,元々何をしようとしていたのかを忘れてしまい,時刻も17時半を回っていたので,終了.あ,そうそう,どうせ最終的には卒研論文を書かないといけないので,雑音除去のアイデアが浮かんでそれをプログラムで検証する度に,逐次書いていこうと思っていた気がします.

今日が誕生日の有名人(78) - 冬馬由美(1966年生・37歳)
 このコーナーで取り上げる人をわざわざ声優以外から選ぶ必要も無いなと思ったので,割と有名な声優さんなら取り上げても良いのではないかということで,今回は声優・冬馬由美さん.ドラクエのゴメちゃん役,タルるートの河合伊代菜役,ああっ女神さまっのウルド役,CCさくらのスッピー役,ぴたテンのニャーさん役…くらい挙げておけば,その筋の人でなくてもある程度は解るのではないかと.ってか微妙ですか? どうせ取り上げるなら横山智佐さん(1969年12月20日生)の方でしたかね.サクラ大戦だったらゲームをやる人に通じるかも知れませんし.

最近のニュース・新聞記事(219) - 渡辺謙さんが助演男優賞候補
 米アカデミー賞の行方を占うゴールデン・グローブ賞の助演男優賞候補に,映画ラスト・サムライに出演した渡辺謙という人がノミネートされたらしいです.日本人の候補入りは異例.主演のトム・クルーズという人も主演男優賞候補に入ったらしいです.



2003年12月19日 (金) - 仙台3.4/9.4度,東京7.2/13.5度


 物を食べる度に痛くなってはやってらんないので,歯医者に行ってきました.どうやら虫歯ではないらしく,前回虫歯を掘削して穴を埋めた際,噛み合わせの具合が悪くなり,物を噛む度,治療した弱い歯に局所的な圧力がかかっていたらしく,それが積もり積もって炎症を起こしていたようです.噛み合わせを改善して様子を見ることになりました.

今日が誕生日の有名人(77) - 反町隆史(1973年生・30歳)
 鬼塚英吉.

最近のニュース・新聞記事(218) - オレオレ詐欺で死者
 オレオレ詐欺にかかりそうになった老人が,警察による事情聴取の最中,ショックで血圧が上がり,ポックリしてしまったらしいです.この場合,オレオレ詐欺の犯人は致死の罪に問われるんでしょうか.



2003年12月18日 (木) - 仙台3.5/8.4度,東京3.4/14.0度

卒業研究
 私の卒研テーマは「フーリエ変換を用いた論理関数の雑音除去」です.いろんな論理関数に対していろんな方法で雑音除去を試みるんですが,そのための下準備として,特定の周波数帯にのみ成分が分布しているような関数を作ろうと思いました.しかし,全周波数成分の2乗和が1になるという制限があるので,特定の周波数帯に対し,単純にランダムな大きさの成分を与えてやるだけではうまくいきません.そんなわけで,結構数学を駆使しました.カコ(・∀・)イイと思ったので,自己満足ながら,解説させて下さい.
 まず,記号の説明ですが,これは

\begin{array}{ll}\vec a&周波数\\\hat f(\vec a)&関数fの周波数\vec aの成分\end{array}
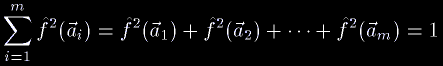
とします.すると,成分を持たせたいm個の周波数の全ての成分の2乗和が1となる制限は
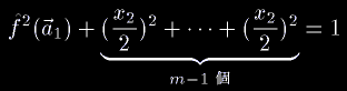
\sum_{i=1}^m\hat f^2(\vec a_i)=\hat f^2(\vec a_1)+\hat f^2(\vec a_2)+\cdots+\hat f^2(\vec a_m)=1
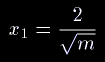
と書けます.問題は,各周波数成分の大きさを,どの範囲のランダムな値にするかということです.最初の周波数成分の大きさを,仮に
0\leq\hat f(\vec a_1)<x_1
の範囲のランダムな値とすると,その成分の大きさの期待値は
\hat f(\vec a_1)=\frac{x_1}{2}
となるわけです.そして,全周波数成分の大きさがこの値になると仮定すると,最初に示した制限の式より,
\underbrace{(\frac{x_1}{2})^2+(\frac{x_1}{2})^2+\cdots+(\frac{x_1}{2})^2}_{m個}=1
となります.なので,この式から,最初の周波数成分の大きさの上限を
x_1=\frac{2}{\sqrt m}
として,最初の周波数成分をランダムに決めてやることができます.次に,2つ目の周波数成分について考えます.これも同様に,
0\leq\hat f(\vec a_2)<x_2
の範囲を仮定して考えます.すると,この2つ目の周波数成分の大きさの期待値は,当然
\hat f(\vec a_2)=\frac{x_2}{2}
となります.最初の周波数成分は既に与えたものとし,残りの周波数成分の大きさはこの期待値であると仮定すると,制限の式が
\hat f^2(\vec a_1)+\underbrace{(\frac{x_2}{2})^2+\cdots+(\frac{x_2}{2})^2}_{m-1個}=1
と書け,ゆえに,2つ目の周波数成分の大きさの上限は
x_2=2\sqrt{\frac{1-\hat f^2(\vec a_1)}{m-1}}
となります.以上の手順で,最初の周波数成分から値を順次与えてやると,それまでに定めた周波数成分の大きさを用いて,上限が
x_k=2\sqrt{\frac{1-\sum_{i=1}^{k-1}\hat f^2(\vec a_i)}{m-k+1}}
で与えられることになります.実際にこの方法で周波数成分を与えてやったところ,大きさは良い感じでランダムになりましたし,ちゃんと2乗和は1になりました.めでたしめでたし.
 ふぅ,自己満足自己満足.TeXを駆使してカコ(・∀・)イイ数式も書けたことですし,矢鱈自己満足.

犬夜叉劇場版第2弾「鏡の中の夢幻城」
 こないだTV放映されたものを観ました.作画がアニメ版と違ってちと濃かったので,最初は引きました.しかし,それにも増して豪快なアクション,そして犬夜叉×かごめだったり法師×セクハラ×珊瑚×琥珀だったりで,良かったと思います.私的B級辺り…と書くと微妙な感じですが.

今日が誕生日の有名人(76) - ブラッド・ピッド(1963年生・40歳)
 数年前,映画タイタニックでその名を私に覚えられた俳優.…いや,待てよ…何か違うな….あ,それはレオナルドデカプリオか.となると,ブラピは…そうか,ゴーマリソンの人か.エドインのジーパンのCMの人.

最近のニュース・新聞記事(217) - 光ファイバの通信能力100倍に
 データ通信能力を従来の100倍となるMax1Pbpsに高めた光ファイバが開発されたようです.従来品は,波長の短い光やファイバの強い折り曲げによって,光信号が外部に漏れ,使い物にならないという難点がありました.しかし,今回開発されたものは,コアの周りに数本の空気穴を通してクッション代わりにすることで,これを解決したようです.それはそうと,私は「ペタビット」という単位に衝撃を受けました.1ペタ=1000テラ=100万ギガ=10億メガ=1兆キロ=1000兆ですよ.知識として知ってはいても,なかなかお目にかかれる補助単位ではありませんよ.因みに,ペタの1000倍はエクサです.



2003年12月17日 (水) - 仙台3.0/7.7度,東京4.3/8.6度

忘年会2日目@M岡研究室
 朝風呂から戻ってきてからは,少しトランプをし,朝食会へ.マリオ中はあまり眠くなかったんですが,風呂に入ってからは,何かをしていないと眠気に襲われるようになりました.朝食後からチェックアウトまでの約40分は,矢張りまたトランプ.
 問題は帰りのバスの中です.とにかく眠い.しかし,ここで眠ってしまうことは私の敗北を意味しているので,隣に座った先輩と会話することによって,何とか意識を留めていました.いや,会話にはなっていなかったのかも知れません.催眠波を出している授業等において,耳には先生の声が聞こえ,喋っている内容が頭に流れてくるものの,意識の半分は夢の中という感覚がありますよね.また,夢の中では,明らかにおかしい事象に対して,何の疑いも無くそれを認めていることがありますよね.バス内で会話中の私はまさにそんな夢うつつの状態でした.無我の境地です.そして,意識の半分が夢の世界に足を踏み入れているため,明らかにおかしい話の展開というものもあるわけです.更に,意識の半分は起きているため,無意識に零れた自分のそのおかしな発言に対して突っ込みを入れるということもありまして,さながら二重人格というか,意味不明な話の展開や噛み合わない会話なんかはもはや重症のボケ老人.そんなおかしな会話を,正常な状態で聞いてみたいと思うんですが,生憎録音設備はありませんでした.残念です.今度先輩に訊いてみようかなと思うほどです.私自身,会話の内容は殆んど覚えていません.見た夢を起きた途端に忘れてしまうように.

大掃除@M岡研究室
 バスから降りて体を動かしたら,それまで自我の60%を無意識に乗っ取られていたところが,ようやく30%程度に抑えられました.そんな状態で,今度は研究室の大掃除です.窓とか蛍光灯とか机とかを拭いたり,空調のフィルタを掃除したり….結果,見た目は普段と大差ない感じですが,ま,大掃除は完了…と.
 何もしないと眠いので,その後はマリオやらトランプやら….


 1ヶ月半ほど前に全部の虫歯を退治したはずなんですが,度々治療痕が痛むときがあります.ここ最近,「度々」から「しばしば」になりつつあります.何もしなくても痛むときがありますし.昨日の夕食や今日の朝食のときも痛みました.折角の美味しい料理でしたが,食欲が削がれ,食べるスピードも抑え目になってしまいました.眠かったこともあり,昼食はとりません…というより寧ろとれませんでしたし,このままではまずいのではないかと.とりあえずまた歯医者に行こうかなと思ってはいます.しかし,歯の神経を抜くのは嫌なんです.神経を抜くということは,即ち,その歯が死ぬということなので….ま,別に,歯を生かすことに何の意味があるのかと問われると,何も返せないんですがね.

気温
 今まで,日記の副題としてその日その日の気温を載せていました.これは,新聞に載っているデータを基にしています.しかし,帰宅後,昨日の新聞を捜したんですが見つからず,このままでは気温情報が欠落せざるをえないというか….M岡研でも新聞は取っているんですが,大掃除で処分してしまった可能性も….



2003年12月16日 (火) - 仙台3.4/10.7度,東京6.8/12.8度

卒研中間発表@M岡研究室
 発表しました.当初は持ち時間が20分だと知らされていたので,それなりの量の資料を作っていたんですが,本番では持ち時間が30分だと告げられたので,特に急ぎ足になることなく説明できたと思います.それにしても,発表態度が非常に良いと誉められたK氏は羨ましかったですね.K氏よりも早くから発表に向けての準備をし始めていた私としては,ぶっちゃけ,妬ましくもありました.しかし,確かにK氏の発表態度は良かったと思います.少なくとも私の発表態度は駄目.先輩にも指摘されましたし自分自身も気付いていたことなんですが,私の場合,スクリーンに投射されたプレゼン資料の方ばかりを向いて発表してしまっている…と.もっと聴衆の方を見て喋れ…と.また,発表の際に難しい言い回しになるところをカンペにしていたんですが,実際に発表しているときはそんなものを見ている余裕が無いということ…ま,これも解っていたことなんですけど,ちゃんと予めその辺は暗記して…つーか,もっと発表練習してから臨めと.

忘年会1日目@M岡研究室
 卒研中間発表の後は,M岡研のみんなで温泉旅館1泊2日の忘年会.会費的な問題で不参加としていたK氏も直前になって参加することになり,めでたしめでたし.ってなわけで,送迎バスに乗っていざ出発.40分程バスに揺られ,某温泉旅館に到着しました.とりあえず,なりゆきで同室となったみんなでトランプをし,温泉に入り,夕食会へ.夕食会で出た料理は思った以上に多く,満腹になりました.そして,アルコの入った周りのみんなとの駄弁りによって心も満腹に…なんて臭い台詞なんでしょう.
 夜は,主に麻雀派とゲーム派に分かれました.私は麻雀をあまりよく知らないので,後者の方に.先輩のノートPCに入っているエミュレータで,桃太郎電鉄の4人対戦をやりました.4人で10年って結構長いんですね.途中,順位が何度も入れ替わり,波乱万丈な展開を見せました.桃鉄が終わった時点で時刻は25時頃だったと思います.親に「そろそろ寝たら良いんじゃないの?」といちいち言われずに夜中ずっとゲームができるというのは大分嬉しいところ.しかし,温泉旅館に来てまでこんなゲームをしているということに関しては,ちと疑問が残ります.はてさて,桃鉄の後はスーパーマリオ.普通にマリオ3の高速クリア練習をし始めたんですが,そうすると他のみんながつまらないことになるということで,マリオ3を交代交代で1面からクリアして行こうということに.しかし,みんなが1面の高速クリアを目指してしまい,何度もそれに失敗し,マリオさんがお亡くなりになられ,先に進めないという事態が起こったので,結局,マリオワールドを交代交代でやることになりました.途中で面子が換わりましたが,沈没船の直前までやりました.その時点で時刻は31時頃でしたでしょうか.つまり,朝の7時頃.徹夜です.私は,この忘年会のような宿泊イベントの際,寝るのが勿体無いと思ってしまうため,結果,徹夜することがしばしばあるんです.今回も例外ではありませんでした.マリオはそこで中断し,交代でプレイしていた3人で朝風呂.それから…いや,この先は17日の日記としますか.



2003年12月15日 (月)

@M岡研究室
 卒研中間発表前日ということで,一応発表練習をしました.それ以外はいつも通り.マリオ3の練習をするのもいつも通り.周りはわりとバタバタしていたようですけど.さて,明日は卒研中間発表なんですが,その後,某温泉旅館に泊り込みで忘年会をするらしいので,楽しみです.ってなわけで,明日のHP更新はありません.更新されていないからって勝手に死亡説を流さないように.

今日が誕生日の有名人(75) - 高橋がなり(1958年生・45歳)
 ザテレビジョンの「今日が誕生日の有名人」の欄には,タレントでない場合,括弧付きで職業も書かれます.例えば,今日が誕生日の谷川俊太郎さんの場合は「詩人」とあります.しかし,高橋がなりさんの横には「ソフト・オン・デマンド社長」とあり,一瞬,「一端の社長がこんな所に名前を連ねられるんだ」と思いました.実はマネーの虎で有名な人ですよね.ところで,この「がなり」という名はどういう理由で付けられたんでしょうか.本名にせよ芸名にせよ僅かに気になります.

最近のニュース・新聞記事(216) - フセイン元大統領拘束
 8ヶ月間の逃亡生活の末,某農家の隣の縦穴地下室で発見され,生け捕りされたそうです.発見されたときは髭伸び放題の髪モジャモジャでした.抵抗はしなかったようです.果たしてこれによってイラクのテロ行為が沈静化するんでしょうか.派遣される自衛隊にとっても,これは重要.



2003年12月14日 (日)

フジ
 めチャ×2イケてるを久し振りに見ました.ネタは全編お台場警察24時.その中で,はにわはなわが登場しまして,佐賀県の替え歌のフジテレビを歌っていました.思わずキャプってしまいました.自分でも動機は不詳.とりあえず約1.8MBの記憶領域がそれに食われています.

ドライヤー
 私,嬉しいことに,ドライヤー要らずの癖毛なんです.いくら寝癖が激しくても,大抵は数回の手櫛で直るんです.たまにしぶとい寝癖もありますが,暫らく帽子を被るとか,寝癖を正すように枕をして横になると,直るんです.ってなわけで,小学校を卒業する頃から今までの10年間,ドライヤーを使った記憶が殆んどありません.ところが,今日の寝癖は帽子や枕では退治できない微妙な所に発生しまして,やむなくドライヤーを使いました.しかし,ここで問題が発生.ドライヤー…確かにスイッチを入れれば温風が出るものの…一体このアイテムをどう使ったら寝癖を退治できるのかと….ぶっちゃけ,ノウハウゼロです.結局,手櫛である程度抑え,そのままに….つまり,私の負けです.将来的にこれは問題ではないかと.

カップラーメン
 先週は卒研中間発表等のためか,私が研究室で販売しているカップラの売れ行きが好調で,数えてみたところ,1週間で21個が売れていました.学生生協に売られているカップラーメンは定価なので,せいぜい1個140円.一方,私のカップラの売値は1個100円.しかも場所は研究室.安くて近けりゃ売れるってわけ.特に天気の悪い日や忙しい日は学生生協まで行ってらんないわけ.学生生協が閉まる深夜にはコンビニまで行ってらんないというわけ.皆さん健康面に気を使っているようですが,背に腹は代えられないということでしょうか.因みにそのカップラ,私は近くのスーパーのチラシを見て,安いのを狙って車を走らせてるので,仕入れ値は80円くらい.1個当たり20円の儲けです.先輩の話によると,どこぞの研究室では,私のように食料を買い溜めて儲けるのがもはや係となっているようです.へぇ,そんな係があるのねぇ.今日も車を走らせて,計22個のカップラを買ってきました.部屋の隅のカップラの山を見て,買いすぎたかと思ったんですが,先週21個売れたということを考えると,ま,こんなもんかなと.

母PC
 CD-R/RWドライブを買って取り付けました.私,これでも実際にCD-Rを焼くのは初体験でした.そしてますますCD-Rドライブが欲しくなったのでした.今度買うPCは,少なくともCD-R/RWドライブとLANポートが付いたものにしたいです.今時,割と標準装備の域ですけど.

今日が誕生日の有名人(74) - 錦野旦(1948年生・55歳)
 空に太陽がある限り頑張ってもらいたいですな.スターといったらこの人しかいませんからね.

最近のニュース・新聞記事(215) - 広末デキ婚
 広末涼子がデキ婚することになりました.ということを書こうと思っていたんですけど,ハードディスクを搭載し,音楽や写真やゲームを記録したり,DVDレコーダとして動画像を記録したり,何だかやりたい放題のゲーム機,PSXが昨日,発売になったというニュースを聞いて,こちらを載せるべきかと悩みました.…反則技スマソ.



2003年12月13日 (土) - 仙台2.9/9.4度,東京4.0/14.5度

研究室対抗フットサル大会
 朝は腹の調子が悪かったんですが,フットサル場に着くやいなや回復したので,体調は無問題.卒論中間発表のためにあまり練習できなかった割には健闘したと思います.予選第1試合,ジャンケンに負けた私は,キーパーを務めました.肉体的に疲れない分,精神的に疲れるポジションです.残念ながら2得点を許してしまいました.どちらも決して捕れないようなボールでなかっただけに,みんなに申し訳ない…という気持ちはあまりなく,ま,それはちょっと問題かも知れませんが,とにかく捕れなかった自分が不甲斐なくて悔しかったです.予選第2試合は名誉挽回とばかりに頑張ったつもりです.攻めては守り,守っては攻め….生憎オフェンスは苦手なので,何度も良いアシストを受けたにも拘わらず,それを相手ゴールへ押し込むことは出来ませんでした.すったもんだの予選の結果,ギリギリ決勝トーナメントに残れました.決勝Tは1回戦敗退.ま,こんなものかなと.

今日が誕生日の有名人(73) - 織田裕二(1967年生・36歳)
 一番有名なのは矢張り踊る大捜査線ですか.事件は会議室じゃなくて現場で起きてるという….

最近のニュース・新聞記事(214) - PSX発売
 ハードディスクを搭載し,音楽や写真やゲームを記録したり,DVDレコーダとして動画像を記録したり,何だかやりたい放題のゲーム機,PSXが今日,発売されました.ということを書こうと思っていたんですけど,広末涼子がデキ婚するというニュースを聞いて,こちらを載せるべきかと悩みました.



2003年12月12日 (金) - 仙台3.3/7.8度,東京5.4/9.9度

@M岡研究室
 卒研中間発表の配布資料を印刷しました.カコ(・∀・)イク段組したTeX打ち文章が5枚,図の分が2枚の計7枚.これを人数分の20部程印刷しました.ホチキス留めが面倒だなと思いきや,印刷と同時に自動的に留めてくれるマッスィーンがあるという.いつの間にか世の中は便利になっていたのね.
 こないだマリオをやっていたら,先輩に「必死に勉強してる人の隣でゲームをするのは控えるべきではないか」と言われました.それはそうだと解りきっている当然の正論だと思いましたが,それでも改めて言われてみると,心にチクチクと響くものでした.頭で解っているはずのことでも,解っていながらやってしまうことというのがあるわけで,それをあえて諌めることは,自分の行いを省みるきっかけになることは確かなわけで….つーことで今日は大分控え目でした.人として今日は大人の気分です.それにしても,周りよりも早めに準備が終わってしまうと,「アイツは余裕なんだな」「自信あるんだな」という目で見られている気がして,それがプレッシャーとなり,「もっと何かしなければならない」「立派な発表をしなければならない」という気持ちになってしまいます.ただ早めに準備し始めて早めに準備を終えただけのことなんですけど.「ちゃんと準備終わるのかな」という不安が無い分,「ちゃんと評価される発表ができるのかな」という不安が….

今日が誕生日の有名人(72) - 福沢諭吉(1834年生・169歳)
 学問のスゝメで壱萬円札の人.流石に169歳と書くのはどうかと思いました.

最近のニュース・新聞記事(213) - 創作四字熟語
 住友生命保険が今年の世相を繁栄した創作四字熟語の優秀,入選作品を決めました.優秀作品には,阪神タイガース優勝で喜ぶファンの様子を表す「虎姿歓歓 (虎視眈々)」,日本人外交官殺害で揺れるイラク情勢を表す「苛苦復興 (イラク復興)」,コメ不足で新米を相次いで盗まれた心境を表す「愛米何処 (曖昧模糊)」,日本道路公団総裁交代後も高速道路料金等の不安が残った様子を表す「憂慮道路 (有料道路)」等が選ばれました.他の作品としては,投票率低下を批判する「棄権罪民 (主権在民)」,発泡酒や煙草の値上がりで「嗜好停止 (思考停止)」,SARS対策のマスク姿で「被面阻禍 (四面楚歌)」,有栖川宮家を騙った「殿下御免 (天下御免)」,タイガース優勝で道頓堀川へ飛び込む「橋喜乱舞 (狂喜乱舞)」等.どれもこれもなかなかに面白いですね.



2003年12月11日 (木) - 仙台3.0/7.6度,東京5.1/8.7度

@M岡研究室
 C言語やったり,駄弁ったり,プレゼン資料を手直ししたり,マリオを練習したり,桃太郎電鉄したり,M岡研に配属が決まった3年生が挨拶に来たり,学生生協でアニメージュ買ったり,そんな普通の1日でした.ネタなくてつまらなくてスマソ.手抜き文章の上,定時アプロド時刻も過ぎてスマソ.必死に中間発表の資料作りをしている人の脇でゲームやっててスマソ.

今日が誕生日の有名人(71) - 加賀まりこ(1943年生・60歳)
 もう還暦ですか.へぇ.私の中ではデヴィ夫人に次ぐアレな人.

最近のニュース・新聞記事(212) - 自衛隊派遣宣言
 依然燻っているイラクへ自衛隊を派遣すると純ちゃんが言ったようです.憲法を都合良く抜粋・解釈して云々.先日日本人外交官が銃撃されて殉職したりと,治安はあまり良くない印象がありますが,派遣予定地はわりと治安が良いとか,それゆえに自衛隊よりも電気や水道等の生活インフラ整備隊の方が欲しいとか,いろいろとドロドロしたことがあるらしいです.



2003年12月10日 (水) - 仙台0.8/7.8度,東京6.2/11.7度

@M岡研究室
 一体今日は何をやっていたのかなと.振り返ると,まず最初はカップラの在庫チェック,加湿器の水チェック,電気ポットの残水量チェック,溜まった新聞を紐で縛る,日曜の毎日新聞に載っていたスリザーリンクとカックロを解く…この辺で時刻は10時.それから卒論中間発表配布資料の添削,先輩のC言語を診る,学生生協にザテレビジョンを買いに行く…この辺で13時半.軽く昼食をとって,桃太郎電鉄.りんごを食べてたこ焼きを食べて,マリオ3をやったりやらなかったりで,やがて帰宅.…えーと.

今日が誕生日の有名人(70) - 石田靖(1965年生・38歳)
 お笑いの人ですか? 一昔前に探偵ナイトスクープとかいう番組で見たような気がします.いやはや,「石田靖」という字面から声優「石田彰」を連想した私は….

最近のニュース・新聞記事(211) - 固定電話の加入権代
 ただになるとかならないとか.つーか,固定電話を引くのに7万円近い加入権代がかかるなんて知りませんでした.そんなんだったら宅電なんか引かずに携帯電話で済ませるて.何でも,元々は全国に電話網を敷設する費用として徴収してたらしいです.もう電話網はできあがっているので,今更取る必要も無いでしょう.



2003年12月9日 (火) - 仙台1.5/5.5度,東京6.3/13.9度

@M岡研究室
 卒研中間発表の配布資料作りとプレゼン資料作りは概ね終了しました.あとは,配布資料を添削・推敲すること,プレゼン資料にアニメーションを付けること,自主的に発表練習をすることくらいです.ヤターネ.つーか,終わったら終わったで卒研をズンズン進めろという話ですが,ま,今日は一区切りということで,大分またーりしてしまいました.マリオ3の高速プレイをコンスタントにできるよう練習したり,先輩のC言語をしたり,そんなのばかり.このままではイカンです.とは言え,明日は中間発表に向けて猛烈に頑張っている人達を尻目にザテレビジョンを読んだりしてしまいそう.ようやく読み終えたアニメージュの次号も明日発売ですし.学校の学生生協だと書籍は1割引きなんだよなぁ….

今日が誕生日の有名人(69) - 雅子皇太子妃(1963年生・40歳)
 ご帯状疱疹のご治療はどうなさられったんでございましょうかしら.

最近のニュース・新聞記事(210) - MET-SUI
 松井稼頭央選手がゴジラ以上の待遇でニューヨークメッツへFAになりました.内野手でメジャーリーグ入りは初だそうです.…FAがフリーエージェントの略だということを初めて知った気がします.



2003年12月8日 (月) - 仙台-1.1/7.3度,東京7.5/13.4度

@M岡研究室
 来る研究室対抗フットサル大会に備えて練習をしました.中学の頃のサッカー部を彷彿とさせる懐かしい練習でした.しかし,昨晩の雪によってグランドコンデションは悪く,滑るし靴は重くなるし靴底は高くなるし….久し振りの運動のため,現在,脚の筋肉が重いです.フットサル大会は今週末の土曜.しかし,私達学部4年生にとっては,来週火曜の卒研中間発表の方が気がかりなわけで.ま,学部4年生とは言え修士課程や博士課程の人に比べればまだまだ下っ端なので,なぁなぁな発表でも意外と無問題な雰囲気です.それこそ高専のときの卒研中間発表以上…いや,以下というべきでしょうか.でも,私はもちろん手を抜くことはしませんよ.意外と完璧主義で几帳面なところがありますから.
 P.S. 今年の5月か6月に購入したジャス…標準語で言うところのジャージにチャックが付いていたということに今日初めて気付きました.

貧食初体験
 貧食とは,主にカレーしかない某学生食堂の俗称です.本校学生は,1〜2年生のとき,メインのキャンパスからちょっと離れた所にある講義棟で一般教養の授業を受けます.その講義棟の近くにあるのが貧食です.しかし,私は3年次からの編入なので,その講義棟に行ったことはありません.当然貧食に行く機会もありませんでした.ところが今回,フットサルの練習をその近くで行ったので,みんなに誘われて貧食に行きました.今朝,家を出るときの財布の中身は僅か35円だったんですけど,研究室に来てみたら机上に土日のカップラーメンの売上金が500円あったので,金銭面ではギリギリセーフといった感じです.私が頼んだのはミートボールカレーというもの.その名の通りミートボールの入ったカレーです.美味しいという味を感じたのは初めの5口程度です.それ以降は矢鱈辛かったという印象が….実は私,熱いものとか辛いものとか苦手かも知れません.一昔前に出たとんがらし麺というカップラーメンなんて食べられませんでした.フットサルの練習で汗をかき,今度はカレーで汗をかき….

今日が誕生日の有名人(68) - 大竹一樹(1967年生・36歳)
 冬なのにさまぁ〜ずかよ!ってなわけで三村調に入ってみたわけですが,ぶっちゃけこちらの人の名前はなかなか思い出せない部類に入ります.以前はバカルディというコンビ名で通っていましたが,何かの番組の企画で改名したという噂.改名といえば,いつの間にか海砂利水魚もくりぃむしちゅ〜になっていましたね.他にも,阿藤海が阿藤快に,犬山犬子が犬山イヌコに,葛城一尉が葛城三佐に,高里要が蒿里に,ソ連がロシアに….どんどんわけわからない方向へ,デープな方向へと話が変異していってます.つーか,もはや改名じゃないし.

最近のニュース・新聞記事(209) - クローン携帯
 ある母娘にこんなことが起きました.ある月の娘の携帯電話のパケット料金として2万円の請求が来たのです.当然母は娘を叱ります.しかし,娘には身に覚えが無いという.翌月も同様の請求が来て,母は同様に叱り,娘は同様に無実を主張.その翌月は,母は娘の携帯電話を預かり,1ヶ月間完全に封印することにしました.しかしそれでも2万円の請求が来ます.流石に娘を信じざるを得なくなった母は携帯電話会社に問い合わせます.すると,「近頃の若者は云々」「自分の娘に限ってそんなことをするはずが無いと思っている所に限って云々」として,相手にされません.ところがそれ以降,不思議と高額の請求は来なくなったとのこと.携帯電話会社に過去の詳細な通信履歴は残っていないものの,あくまで本人が使ったものとして処理しているらしいです.母娘にとっては,気味悪いやら腑に落ちないやら.



2003年12月7日 (日) - 仙台6.8/13.2度,東京8.2/17.4度

初雪
 降りました.しかし,今年は冷夏で暖冬らしいので,エアコンを売りたい電機屋さんには大打撃.

アニメージュ
 先月10日に発売された12月号,あと少しで読み終えるんですが,まだ読み終えていません.明々後日には1月号が発売され….

今日が誕生日の有名人(67) - 古舘伊知郎(1954年生・49歳)
 アナウンサー…ですよね.愉快な実況中継.居合抜きの実況の仕事が大変だったという話を聞いたことがあります.2時間くらいピクリともしない居合抜きの人に対してどんな実況をしろと.ピンと張り詰めたこの空気…会場中のみんなが息を飲んで…とかやったんでしょうかね.

最近のニュース・新聞記事(208) - 車輌量販店に突っ込んで…
 車が車輌量販店のショーウィンドウに突っ込み,展示されていた高級外車計5台が壊れたそうです.被害額は数千万円とか.あな恐ろしや.



2003年12月6日 (土) - 仙台3.7/5.2度,東京7.7/13.8度

@新聞配達
 正確には新聞配達前の事務所での折込広告挟み込み作業のときですが,手の平を紙で切ってしまいました.ゾクッとする独特の痛みに耐えながら,分厚い広告を挟み込むのはちょっと大変でした.このまま帰宅したいなと思ってしまいます.ま,先日500円を拾ったということで,「人は何かの犠牲無しに何も得ることはできない.何かを得るためには同等の代価が必要となる.それが錬金術における等価交換の原則だ」という釘宮声をリピートして….

アニソン
 ポケットモンスターアドバンスジェネレーション略してポケモンAGのED曲が昨日から変わり,おまけに昨夜のあたしンちのOP曲も渡辺久美子&折笠富美子バージョンになっていたので,オーディオケーブルでTVとPCを繋ぎ,取り込みました.こんな感じで取り込んだアニソンが既に900曲ほどあります.PCを使うときは,その内100曲をプレイリストに突っ込んでランダム再生し,BGMとしています.8割が気に入った曲で,2割が最近の曲といった感じです.前者の中におジャ魔女どれみドッカーンのED曲「わたしのつばさ」も入っているんですが,普通のTVサイズのものしかありません.しかし,よく考えてみたところ,最終回で流れたED曲がフルコーラスに近いものだったということに気付きました.それならそれを取り込もうと.ってなわけで,テープを早送りし,最終回のラスト10分を観たんです.ハイ,泣けました.おジャ魔女凄ぇーよ.MAHO堂から飛び出したどれみを捕らえたハナの台詞「どれみ,つかまえた」…参りました.大谷育江強いッス.てひひひ…? 「美紗さん!湖太郎ちゃんにくっ付かないで!」by 植松小星→釘宮理恵→萌え.…で,はて,何の話をしていたのかしらってなことを書いていると,突然BGMがわたしのつばさになったりまったり.定時アップロード時刻まで20分ほどあるので,プレイリストに現在突っ込んでいる100曲を書き出しましょうかね.…と思って書き始めたものの,ファイル名を全部英小文字にしているので,大文字/小文字の区別や漢字/カナの区別ができず,その上歌手名等まで書くのは大変ということで,Ctrl+Alt+Del.

今日が誕生日の有名人(66) - 保田圭(1980年生・23歳)
 元モー娘の弄られ役.

最近のニュース・新聞記事(207) - 風水財布広告虚偽
 金が貯まるという謳い文句の風水財布,広告に掲載した「ジャンボ宝くじが当たった」等の体験談や「高周波のエネルギーが発生している」との実験結果は自作(・∀・)自演ということが発覚したそうです.個人的には発覚の経緯が気になります.内部告発ですか?



2003年12月5日 (金) - 仙台1.5/8.5度,東京7.3/9.2度

@M岡研究室
 今日はナンダカンダで結局殆んどマリオ無し.駄弁りは有り.配布資料作りとプレゼン資料作りに勤しんでいました.幸か不幸か気合いが入りすぎてる気がします.ここ最近毎日切羽詰ってる演出がされてるみたい.早く解放されたいです.つーか,とりあえず資料作りを完了させたいです.3歩進んで2歩下がるみたいな感じなので,みんなが5歩進めるところを1歩しか進めていないという….

夜の歯磨き
 夕食を18時に食べ,寝る直前の23時に歯を磨き,起床後新聞配達前の3時半にプレ朝食をとる.…よく考えると,歯磨きしてからものを口にする時間よりも,歯磨きするまでの時間が長いようです.び,微妙.

今日が誕生日の有名人(65) - ウォルト・ディズニー(1901年生・102歳)
 つーか,一応「2003年−1901年=102歳」としてみましたが,未だご健在なのかどうか….因みに,ミッキーマウスの声がディズニーさんってことは有名ですが,各国語の吹き替え版は各国の声のそっくりさんが演じています.

最近のニュース・新聞記事(206) - 東北大,町名取得
 これまで,東北大のキャンパスは国有地であったため,登記上の正式な町名が存在していなかったらしく,今回,独立行政法人化に向けて正式な町名を取得するらしいです.現在,川内キャンパスと青葉山キャンパスは,隣接町の地名にちなんで,便宜上「川内」「荒巻字青葉」と呼ばれ,地図や住所録にもこれが使用されてきたと.で,その便宜上の町名を正式な町名にするとか.何だか極めてお役所仕事な感じがしますね.



2003年12月4日 (木) - 仙台4.4/8.4度,東京8.7/15.2度

@M岡研究室
 暇潰し息抜きにマリオ3高速クリア練習をしたり,先輩のC言語プログラムを看たり,最近はコレばっか.

卒業研究
 なかなか中間発表の資料作りが捗りません.配布資料とプレゼン資料を並行して作っているんですが,「この方が良いな」と思って片方を直してはもう一方もそれに伴って修正したり,その逆パターンもあったり,グラフやデータが怪しくてプログラムをチェックしたらバグが見つかって正しいグラフを出すためにデバッグに勤しんだり,昨年夏の高専の研究紀要論文で日本語をしこたま鍛えられたがゆえに推敲に推敲を重ねたり….たかが中間発表,されど中間発表です.特に,TeXで作っている配布資料は,そのまま卒業論文に持っていける質になっていると思います.段組カコ(・∀・)イイ.

今日が誕生日の有名人(64) - 中川剛(1970年生・33歳)
 中川家の小柄で気弱で元対人恐怖症で兄の方ですね.体格良くて禁酒中で小母さんキャラの弟の方は礼二という名前だったと記憶していたので,消去法で.因みに,ロンドンブーツ1号2号の田村淳という人も今日が誕生日らしいんですけど,これはレジでブタキム言ってた方ですかね.客に混じってリピートしてた方ではなく.

最近のニュース・新聞記事(205) - JR長野駅元助役
 が中国人女性にクロロホルムを嗅がせて死なす強盗致死容疑で逮捕するという記事が載っていました.この見出しを見て,私はてっきり宮城県仙台市のJR長町駅だと勘違いしてしまいました.確かに字面は似てなくはないと思います.しかし,「長野県の〜」という文章を読んでも「へぇ,長野県にも長町駅ってあるんだ.同名でビックリという運びで日記のネタにしよう」と思っていた私って….結局数分経過するまで「長野駅」を「長町駅」と読み間違えていたことに気付かなかった私って….



2003年12月3日 (水) - 仙台6.3/11.3度,東京11.3/13.5度

@M岡研究室
 今日は珍しく任意の研究室見学者が2組も来ました.今日はマリオ3の1-1だけでなくワールド1の砦も練習しました.今日は卒研中間発表の準備を殆んどしませんでした.今日は先輩にC言語を教えました.

今日が誕生日の有名人(63) - イルカ(1950年生・53歳)
 なごり雪って名曲ですね.

最近のニュース・新聞記事(204) - 消えるインク
 なるものが発売されるらしいです.ある一定の温度以上の熱を当てるとインクが消えるらしく,紙を再利用できるらしいです.とりあえずモノクロレーザープリンタに搭載したものが発売されるとか..



2003年12月2日 (火) - 仙台8.8/15.0度,東京10.9/19.0度

@M岡研究室
 有限オートマトン,正則表現,プッシュダウンオートマトン,文脈自由文法,チューリングマシン等に関して書かれている英語の教科書を読んで内容を発表しあう4年ゼミが終了しました.あとは卒業研究まっしぐらです.来週末に研究室対抗フットサル大会がありますが,当面はその3日後の卒研中間発表が山になりそうです.過去の論文を読んだりプレゼン資料を作ったり配布資料を作ったりで大忙しです.マリオ3-1-1の高速クリア練習は密かに続けますけど.

SOS
 隊長!最近の日記が全くヲタ臭くありません!

今日が誕生日の有名人(62) - 松嶋尚美(1971年生・32歳)
 オセロの白い方.個人的には黒い方が面白いなと.

最近のニュース・新聞記事(203) - 新語流行語大賞・レコード大賞金賞
 テツ&トモの「なんでだろう」,野中広務元自民党幹事長の「毒まんじゅう」,元三重県知事の北川正恭早大教授の「マニフェスト」が年間大賞に選ばれました.他のトップテンには,「コメ泥棒」「SARS」「ビフォーアフター」「へぇ〜」等が選ばれたそうです.ノミネートされた中には「高見盛(ロボコップ)」とか「はなわ」という人名も.
 レコード大賞の金賞には,Long Road(w-inds),Together(EXILE),Perseus(島谷ひとみ),Night Walk(DA PUMP),雪の華(中島美嘉),童神(夏川りみ),No way to say(浜崎あゆみ),DOUBLE(BoA)等が選ばれたようですが,私はこの中の1曲たりとも知りません.



2003年12月1日 (月) - 仙台10.4/14.1度,東京13.5/16.3度

11月の気温推移
 こんなんなりました.先月作った自作プログラムでグラフを描きました.

11月の気温推移
最低気温平均気温最高気温
札幌-4.4度6.4度22.4度
仙台0.7度10.6度22.5度
東京7.3度14.5度24.8度
大阪5.7度16.0度24.5度
那覇16.8度24.1度29.3度

@新聞配達
 バタバタと新聞を配っていた今朝のこと,足元で金属片を踏んだような音がしました.暗闇の中,屈んで地上30cmまで顔を落として見てみると,それは平べったくて丸いものでした.はたから見ると,その格好はいかにも怪しげ.しかしそれが何なのかはまだ判りません.暗いんです.ってなわけで,今度はそれを拾い上げて眼前12cmまで持ってきました.案の定,硬貨でした.しかも500円玉.

@M岡研究室
 スーパーマリオブラザーズ3の1-1の高速クリアに嵌まってしまいました.3回に1回は成功できるくらい極めたいです.

今日が誕生日の有名人(61) - 林家こぶ平(1962年生・41歳)
 この人の落語,見たことありません.この人は意外と声優やってます.こち亀の寺井とかあだち充作品のデブのキャッチャーとか.

最近のニュース・新聞記事(202) - 地上波デジタル
 おめでとうございます.東京,大阪,名古屋の3大都市圏での地上波デジタルが始まりました.名古屋では地上波デジタル用の電波塔も建てられたようですね.あとは徐々に地方への対応地域拡大,各放送局の対応,そしてオリジナリティ溢れる対応番組の増加を待つだけです.今年の紅白歌合戦は視聴者投票も行われるという噂も耳にしました.因みに,補足トリビアとしまして,地上波デジタル放送を受信するのに必要なUHFアンテナ,このUHFはUltra High Frequencyの略です.VHFはVery High Frequency.