午前,社外会議.定時出社すると,滞在20分で発つことになります.効率悪いので,直行することにしました.いつもより2時間遅くに家を出ました.悠々重役出勤.
昼食を済ませてから出社.会議録を作ったり,宿題を片づけたり,月末の作業をしたりし,2時間半でまた外出.
夕方,社外会議.噂を聞いた久しぶりに会うお客様からの祝辞テロ.「まじっすか!?」と私も驚くのはお約束.会議終了時刻が既に終業時間のため,直帰.浅い残業で会社より自宅寄りの解散のため,いつもより1時間半ほど早くに帰宅しました.水曜有休ゆえ火曜感覚だったのも手伝って,贅沢なプレミアムフライデーでした.
東京五輪・パラリンピックの渋滞対策について,時差出勤などで協力したいとする企業が80%に上った一方,半数近い44%の企業が対策の検討に着手していないことが分かった.
一切興味ない私にとっては厄介事でしかありませんが,CSR的に郷に入れば郷に従います.
最近,国賓として来日したトランプ大統領.来日中は控え目だった貿易不均衡話.端的に言うと「もっとアメリカの車を買え」ってことだと思っています.先日読んだ新聞記事に,誰かの反論が載っていました.「狭い道路,左側通行の日本に合わせた車を作ってから言え」と.まじか.私はてっきり,それに合わせた小型,右ハンドルの車を出すなんてことはとっくにやっているもんだと思っていました.その上で,もはや外車に昔ほどの魅力を感じられないとか,燃費や費用対効果考えると日本車優位だなとか,そんな理由で買われていない状況なんだろうと思っていました.こうなったら,お試しで関税引き下げたらどうなんでしょう.それでも大して売れなかったら,ますますそういうことですよってこって.
NHKにテレビ番組のインターネット常時同時配信を認める改正放送法が成立した.本年度中にネット向けの新サービスを始める計画.受信料契約を結ぶ人は追加負担なしに,ネットでリアルタイムに番組を見られるようになる.
こりゃネットに繋がるだけで受信料契約が必要ってことになるのも時間の問題ではないかと.包囲網広がりますね.
昨夜からのラマダンを経て,朝から人間ドック,行ってきました.測定項目はどの病院もほぼ同じ.左眼の視力が奇跡の1.0超でした.0.3のランドルト環は判らなかったんですけどね,不思議不思議.昨年のドックはバリウムだったので,今年は内視鏡のターンですが,無料でチェンジできる病院じゃないので,引き続きバリウム.なかなか一気飲みしんどいです.便秘気味の身なので,腸閉塞リスクの方が怖いわ.下剤キメて白いの出しつついっぱい水飲むぜ.
夕方は歯の病院へ行ってきました.4月17日の歯磨きでイってしまった詰め物を5月2日に装着してもらったのを5月18日にまた歯磨きでイかしてしまった詰め物を何とかしてもらうのが主旨.経年変化が疑われるっつーんで,新しいものを錬成してもらうべく,型を取りました.麻酔をキメて整地してもらいましたが,ちょいちょい痛みます.ま,結構イってますからね.で,案の定,そっから5時間は麻酔効いて,顎が変な感じです.痺れが残りながらも空腹に痺れを切らして夕食.
島津製作所は,分子構造を詳しく解析できる世界最小の卓上質量分析計を発売すると発表した.2002年にノーベル化学賞を受賞した同社の田中耕一シニアフェローのイオン化技術を利用.幅約31cm,奥行き約38cm,高さ約32cm.重さも従来機は400kg以上あったが,25kgにまで抑えた.
「肝心の分解能が載っていない!」とツッコミを入れたところで,誤解に気づきました.計量可能な物の質量が世界最小なんだと読み取っていました.計器の物理サイズが世界最小なのね.
ゼロとメカの動きがシンクロしてるのカワイイ.目玉の果実キモイイ.廃れた喫茶店で独り,銃の手入れをしていたのは,娘の敵討ちの機を待っていたのか.
ブロッコリーの寒いギャグに辛辣にもウィットに富んだツッコミを入れる勤勉氏のキレの良さ.BREAKERSを見限って一抜けした勤勉氏が大人げなくて面倒臭いけどぽっちゃり系の情報共有によって寛容になったみんなが再び迎え入れる…という感じになっているのがなんか腹立つ.
警視総監まで悪い連中の配下だったか.そりゃどんだけ潜入配信されたところで,捕まらないね.弟を安定化するアーティファクトが姉だったとは.
投石の獣巨人にたどり着いた兵長,鬼気迫ってて凄い勢い.そりゃそうでしょう.調査兵団ほぼ全滅ですから.鋼の巨人の顎の腱を外して口内射撃.ハンジさんの登場狡い.超大型はアルミンで釣ってエレンでチェックメイト.ここで蒸し焼き退場でしたか.
規格外の自前衣装だったお陰で転送エラーとはご都合主義.娘のBL本を露にする父,鬼畜の所業.なんやかんやで格ゲー娘のターンでしたが,ノーナとRPGははてさてどうする.
意に介さない女子校生に対し,そわそわが止まらない男子あるある.これで女子高生が女子校生ズだったら一層,男子居たたまれなかろう.
サシ飲みからの夜の公園.ノブナガ劇場マスクが強すぎて話が読めん.乳母が出てきたとか言っとりましたが.
人を奴隷としたロボの星.ミノフスキー粒子の散布でロボの視覚が阻害されたとのことですが,もはや光学センサは非搭載なんかね.
同じ部屋の新入生で食べるの遅い組を励まそうとしている沢村.この鬱陶しさ,合わない人には合わない応援ですわ.そりゃ1年生捕手みたいに声を荒らげることにもなりましょう.
隊長に勝ったユノの姿に茫然自失のアスタ.励まそうと風呂.で,いきなりライバルヴァンジャンスとの昔話を語りだすヤミ隊長.着地せぬまま次回へ持ち越しか.
沖縄の協力組織こと「ザ・シーサー」…ちょ,DQNネーム感.逃げずに勝手に戦ったことを師匠に叱られたモモですが,手柄に目が眩んだのではなく,とりま頑張ってみて,ヤバそうだったら逃げようとは思っていたんでしょう.ノー挑戦ではノー成長だと思うの.
弱かった奴が怪人細胞を食べて強かった奴をボコって,の連鎖.優勝した武術家ですら逃げたり助けを求めたりする展開に颯爽登場のハゲマント.頼もしいじゃないの.
数日考えましたが,全然思い出せませんでした.中国語で「gēshŏu」と発音する単語,どういう漢字でどういう意味か,全然思い出せませんでした.思い出そうとしたきっかけももはや思い出せませんが,そんなことよりこの単語の正体をはっきりさせてすっきりしたい.絶対に知っている単語です.ピンインも四声もこれで間違いないです.漢字から音への変換は簡単です.でもなぜか音から漢字への変換ができません.
降参して辞書を引きました.「歌手」でした.すっきりしましたががっかりしました.
某システム開発で海外の会社と英文メールでやり取りしたことがあります.その程度の英語の読み書き能力はあります.しかし聴き取りは全然駄目.きっと,聞いた単語を日本語に即変換できないから短期記憶からこぼれ,聴き取れないというカラクリなんでしょう.「日本語に変換」というより,「対応するイメージに変換」の方がしっくりくるか.ってことが今回の件で解った気がします.
来日中のトランプ米大統領がtwitterに投稿した内容が与野党に波紋を広げた.日米貿易交渉に関し「(夏の)選挙までは取引を待つ」との文章で,選挙を「elections」と複数形で表現したためだ.安倍晋三首相が参院選に合わせた衆参同日選に踏み切るとの観測が広がる中,「トランプ氏は首相から同日選の実施を伝えた」という解釈だ.
読みが深いというか,粗探し凄いというか.私の英語感は,「基本は複数形で,複数要素皆無な場合は単数形」です.だもんで,選挙区が“複数ある”から複数形という解釈でスルーなんですけど.
新人研修でExcelとWordを教えました.だらだら駄弁って寄り道しながら一つの管理表を作る手垢のついたネタ.昨年使った資料を一応先週末,5分程度眺めました.そして迎えた本番,当時の「仕込み」をいろいろ忘れていました.ま,仕方ない.講義中,言わずもがな皆さん大人しくて,いくらでもピエロ.ま,仕方ない.訊かれたことに答える形式の方がだいぶ楽です.
26日の日本列島は各地で記録的な猛暑になった.北海道東部の佐呂間町では39.5度を観測.5月に観測された最高気温の全国記録と,年間を通じて北海道で観測された最高気温の記録を塗り替えた.北海道で季節外れの暑さに見舞われたのは,高気圧に覆われたことに加え,北日本の上空に真夏を超える20度以上の暖気が入ったことや,局地的に気温を上昇させる「フェーン現象」が発生したことなど,複数の要因が重なったためと考えられる.
札幌は平年より15度高い気温だったそうな.昨夜は若干,寝苦しかった気がしないこともない.今朝は心なしか,体調悪かった気がしないこともない.日中はいつも以上に眠くて仕事にならんわ.
昨日の大分は35度を超えたようです.こっちはまだ真夏日止まりでしたが,暑熱順化が済んでない身には堪えます.まだ5月ですよ.急がないでください.
扇風機,投入しました.例年ならもっと耐えられた気がします.カードを切るの,もう少し躊躇っていた気がします.そうか,今季から自宅内全裸策が打てないからですね.
今日は北海道で史上最高の39度に上ったところがあったようです.なんてこった.通勤時のコスは,まだ長袖ワイシャツです.明日から半袖にしようか.いや,もう1週間くらい粘ってみようかしら.
大相撲夏場所14日目,西前頭8枚目の朝乃山が大関豪栄道を寄り切って12勝2敗とし,ただ一人3敗だった横綱鶴竜が関脇栃ノ心に敗れたため,令和初の本場所で初優勝を決めた.平幕優勝は昨年初場所の栃ノ心以来,三役経験のない力士では1961年夏場所の佐田の山依頼,58年ぶりの快挙.
そもそもの話ですが,勝敗数が決め手なんですね.そうなると,対戦カードのファクターが大きくないですか.
聞くだけ聞いて案の定,占いどおりの水着を買わない矢作部長.これが赤子以来の露出量とは,さすがの花澤引っ込み思案,のリアクションこそ萌え.OK!@久野.
滋養強壮ドリンクをグビグビ飲み干して街灯にマッハパンチを打ち込む女子高生に,ナンパ人も声掛けを躊躇うの面白い.親父の怪しげなドーピングにより,またも乙女のピンチ.なんやかんや結局,勉強できる気配ないな.
それ,折り紙手裏剣じゃなくて帰国子女が目を引いているのよ.残念以上に残念な運動神経の持ち主田中なこ萌え.借りた蝶ネクタイを返すのにここまでエネルギーを要するぼっち乙.
1話限りのゲスト扱いなんでしょうか.10年ぶりの再会で「どんだけぶりだと思っているのか」の問いに対し,指折り数えて「3箇月ぶりか」と答える父,一体何を数えたのか.
フタバさんと婚約者を見かけ,波乱の予感を覚えていたアズサですが,よもや自分に波乱の渦中に放り込まれようとは.道中,高輪ゲートウェイへ同行するハヤトに感謝の意を表したのがフラグというか記号になっとる.
ついてきた監督が命を救ってくれた話,ちょっと聞いてみたい気もします.野球も兄の実力も碌に知らないのに謙虚を装って自慢してくる妹なんなの.これはぎゃふん待ちですね.飄々としたキャラの梶声,填まってるわ.
鬼を一人で押さえられても,それに一般人二人が加わると難しいのか.ここで仲間の救援,と思いきや,来たのは鬼さんでした.でも仲間寄りで一安心.の息子の方がガードを固めてくるのとか,今回はギャグテイストで面白い.画面から見切れたところで無意味に動いてる鬼頭禰豆子がいちいち可愛いぞ.
ぬるま湯じゃないと風呂勉強はすぐノックアウトでしょうね.風呂に長時間滞在するつもりだったらスマホ持ち込みもありでしょうけど,日常的に持ち込んでるうるかは玄人.と見せかけて,ハンズフリーじゃなくて映像通話にしちゃううっかりうるかってば.からのBパートは成幸うるか展開GJ.
さとわが残念アパートに住んでいたと思ったら,愛はとんだ高級マンションに住んでたのね.叔母若いな.ヤンママっぽく見えて,ちゃっかり調弦できたりと,見かけで判断するの良くない.どんな演奏だったか判りませんが,泣かせてくれる素敵演出じゃないの.
ナツとグレイの闘いは,仲裁エルザの涙でやっと落ち着いたか.ルーシーとジュビアの登場で,もう安心ですね.からの快楽のトゥウェルヴ登場.いろんな人がそんなことになる展開に,果たして日曜朝の安心ディズニー系ソフィアの満を持した最終回前での放送,大丈夫なのかとちょっと心配.
日曜朝のテレビ東京で放映されていたこの番組が終了しました.屈しない強い意志を貫いたソフィアの勝利.みんな集まってペンダントからソフィアを救出する素敵最終回でしたが,急展開すぎて気持ちが追いつかないわ.後番組は「アバローのプリンセス エレナ」の第2期.
青春純情を弄んだと抗議するプルンスですが,アイドル姿でお願いされて反射的に全力強力するプルンス,相変わらず弄ばれとる.ケルベロスが全然怖くないデザインで,ひかるが「よしよしよーし」するのも頷けます.さてはクリスタル,ブルーキャットの母国か思い出の何かだったのかね.
久しぶり登場のアニエス.西洋妖怪の襲来と,鬼太郎がキューブに閉じ込められて埋められたシリアス展開かと思いきや,ちゃんちゃんこ氏の服に留まらない大活躍,面白いじゃないの.最後は退治屋のシリアス締めね.
もっと組織的な騒動かと思いきや,鼻垂らしの天竜人の我儘でしたか.エニエスロビーのCP9,懐かしい.あそこで今サンジがやってる空中走りを初めて見た気がします.いや,空島の兵隊さんが先だったか.迷惑な天竜人を退治したの,誰かと思ったら,魚人島で偉そうにして殺されそうになったのを乙姫に庇われた天竜人でした.心入れ替えない系だと思っていたのですが.
お薦め本のポップを貼るのは良いけれど,ちゃんと中身読んだ上で薦めていただきたいです.出前本屋で思い出の本を探す3人をも本店に連れてくりゃ良かったのにね.
ガイ先生が初めに見たのは温泉巡りしてた子だったようですが,次に見た落ち武者は本物か.廊下の像を切断したり,部屋の札を回収したりしたミライのせいでは.前回はキバが出てきて,今回はテンテンが出てきて,次回はチョウジが出てくる様子.そういうシリーズか.
最近のニュースか何かで,「年金システムはお手上げだから自助努力してね」的な国のアナウンスを受け,「だったら年金保険料を払わないという選択肢も認めよ」という声が上がったのを聞きました.確かに,その分を投資の原資に回せりゃいいよね.
投資といったら切っても切れないのが利回りの話.はてさてそもそも年金の利回りはどのくらいなのかしら.投資判断の参考にこの辺,知っておきたい.っつーこって,興味津々で試算しました.
まず収入.三井住友銀行のWebサイトで年金受取見込額を試算しました.月18万円でした.60歳から100歳までの40年間受け取るとすると,総額8640万円です.次に支出.これまでの月々の年金保険料から60歳退職までの支払総額を試算しました.2100万円でした.
年金保険料を払い始める20歳から死ぬ100歳までの80年かけて,2100万円の元手を8640万円に増やしたと考えてみましょう.

戸籍情報をマイナンバー制度と連携させ,行政手続きを効率化する改正戸籍法が成立した.マイナンバーを示すことで年金や児童扶養手当の請求ができ,結婚の届け出で戸籍証明書の添付が不要となる.約5年後の運用開始を目指す.
これまでに戸籍謄本が必要だったときは,Webからダウンロードした謄本発行届を印刷・記入・押印し,会社を休んでゆうちょ銀行で定額小為替を買い,本籍地の自治体へ郵送し,数日待つ必要がありましたからね.
高い知性を持っているのに喋らないのね,と思ったら後半,喋り出しました.父と娘は言うこと順守しても,部下がアレだとね.朝も昼も夜も明日も明後日もご飯は全部マシュマロとは死ねる.
結果的に和を壊す言動は残念ですが,真剣にやろうっつー気持ちは解ります.一方,遅刻してきたくせにへらへらして,詫びのつもりの差し入れ出しては気楽に行こうぜを押してくる人とはちょっと合わないかも.差し入れ買う時間があるならとっとと来いと.
あんな感じで時の迷宮に入るのね.貰った花を装備しているのは同一人物を見分けるフラグか.追及材料の帳簿を得てこれから動こうとしている人には死亡フラグが見えます.
野球アニメじゃないけどこのサブタイトル.砕いた岩を投擲してくる獣の巨人の破壊力.夢の実現を目の前に,決死行の指揮を執るの辛い.こりゃ託された兵長,失敗できませんね.「アレンの家ーがー」とかダジャレてる余裕ないわ.
感情出さないヤンキー紛いと,感情出ない生徒会運動部審査担当,いいね.着ぐるみの中から「お久しぶりです」言われたところでリアクション困るっしょ.ED映像が変わった気がして,もしや徐々にメンバーが増えるパティーンかと思い,先週分を見返したら,先週まではリトルリーグ的な写真のズームアウトでした.
格ゲーキャラにオタク属性キャラ,の言動がそれな,で面白いいじゃない.ワープ娘は便利.キャラが増えるにつれ,ノーナの存在感が薄まります.
休み時間に曇り窓に描いた落書きが,授業中に露見するの恥ずかしい.見せられないようなとんでもない内容じゃなくて良かったね.
骨董品から出てくるわけじゃなく,触れた人にも憑依的に召喚しちゃうゴッドハンド.油断大敵.どうして出てくる連中は皆そっちの方面でアグレッシヴなのか.そういう作品だからか.
ミュージカル,わりと好きかも.ソフィアで馴染んだ杉山アンバー声が聴こえた気がしたのですが,クレジットにはいませんでした.代わりにキュアショコラ森なな子氏がいました.元宝塚の本職ktkr.
朝からじゃなくてもご飯3杯は行けません.登録枠を敢えて2席空けることで部を活性化する監督,さすがですね.
ロイヤルナイツ選抜試験決勝戦.芸術家隊長と疾風のユノの勝負,迫力満載で大盛り上がりでした.最後の最後でようやく妖精の力も解放,ってか同化フォルムでしたか.冴えない気弱な風体でありながら熱血丸出しのキノコ氏,面白いじゃない.
スパイアイテムを紹介する机上に注意を向けさせて足下から攻める手品師のやり口.大関先輩を差し置いて,まさかの五右エ門だった横綱,いや逆か.とんだ隠し玉.鎮圧難儀.
決勝戦に至ってもタイトルのとおり,勝負は一瞬でした.武術大会よりも,街に大量出現してA級でも対応しきれない怪人の数々の方が気になります.もう少しS級の人数が少ない方が記憶力に優しい気が.
なーんもない日を恐ろしがるトロールズ,どんだけ楽しいこと好きなのかと.なんか元気出るわ.Bパートはポピーをぎゃふんさせたいがための親友演技でしたが,もう親友を超えそうな勢いでひやひやしました.
部屋から男の声が聞こえたとして,着替え中だという娘の話を聞かず,鍵かかった部屋にショットガン持って突入しようとしたり,男友達を門のところで銃を向け追い返したりと,市長父とんでもない.そんなこんなさて置き,ツンデレ声優釘宮演じる市長娘萌え.
終電間際の時刻に帰宅して,どうしてそれから夕食を,なんて気になれるかなと,毎度思います.すぐ寝たくはないのかの.仙狐さん大好きなシロさま@内田真礼萌え.
ゲーム感覚というかなんというか,そんな温度で怪獣繰り出してくる神様怖い.友達と争いたくないと,ソフトに接してくる六花に対し,「私と仲良くするよう設定した」とは残酷台詞.
ギャラを預かって「悪いようにしない」言う人にゃそりゃ「悪い予感しかしない」でしょう.案の定,増やそうとしたという言い訳で水泡に.オーディション大会,パフォーマンス1本で20万分の8組までいきなり絞るかね.
ついていったピュアパレット,役立ちますね.ブリザードに閉ざされがちで娯楽少ないところでステージを披露.ま,インドア派の私にはブリザードとかあまり関係ないですけど.
孫に教わった研究会連中もかなりの高レベルになっていたと.うっかり戦争の具になりそうとあっては,迂闊なことできず,窮屈ですね.才能ある人も大変なのね.
BL警官の過去に何があったのか.さておき,いつも楽しみな漏洩タイム,まさかあの場を荒らした犯人だったとは,歪んでるわ.昔の感じに戻ったという元気な一稀も,裏で歪んだ何かを抱えたままって気がしてきました.
走りで見えない竜巻を作ってフィールドに留めておくとかありえん.3人のイニシャルというわけではありませんが,なぜにGGGか.解説者がすっかり実況者になってるの面白い.
先週のおさらいをするのに冒頭10分ほどCPUを取られました.田野総長が毎度リーダーっぽいことやっているなと思っていましたが,そーいや決めてましたね.何となく察していましたが,籠城戦を解いて会場行きのみんなと合流,できずに撥ねられる展開面白い.本番前に心臓仕舞えないの面白い.落雷受けて蛍光してボカロ調でリターナーするの天使.
ヤンキーと電波の私服がこれでもかというほど個性丸出し.電波に至っては,場面跨いだ透のモノローグに返事をするというメタっぷり.そんな電波に唆されて,年越しの帰省をすっぽかして帰宅した二人,それなりの行事があるでしょうに,大丈夫なのかと.
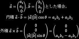
3次元行列式同様の思い出せない簡単なことシリーズの今回は外積で遭遇しました.2次元空間上の特定の点が特定の三角形内に存在するかどうかを調べる,という数年前に編み出した方法で使った外積.内積との対比で憶えている外積の特徴は,結果がスカラーではなくベクトルであることと,算出式に出てくる三角関数が余弦ではなく正弦だったことです.結局はWebの集合知で答えを得たわけですが,実に遺憾です.

第一生命保険が「第32回サラリーマン川柳コンクール」の人気投票の結果を発表し,終業時間終了後の解放感を流行歌の歌詞にちなんで詠んだ60代女性の作品が3446票で1位に輝いた.
- 五時過ぎた カモンベイビー
USA ばらし- いい数字 出るまで測る 血圧計
- メルカリで 妻が売るのは 俺の物
- ノー残業 趣味なし金なし 居場所なし
- 「やせなさい」 腹にしみいる 医者の声
- やっと縁 切れた上司が 再雇用
- 手紙書き 漢字忘れて スマホ打ち
- 下腹が 気づかぬ内に ひょっこりはん
- U・S・A 流行りにのれない まあいっさ
- 叱っても 褒めても返事は 「ヤバイッス!」
「アフターファイヴ」云いますが,17時定時で終業の会社って主流なんでしょうか.ホワイト大企業様はこうなのかね.
就寝は基本的に22時半.という思いはあります.帰宅時刻がその辺りなので,あまり順守できていません.そんなときでも,日記書きを翌朝に回し,極力すぐ寝るようにしています.そして翌日,朝食後,家計簿の追記やらメールの確認やらを済ませてから日記を書いていると,出る時間が迫って慌てて締めざるをえないことが多々あります.日記ネタが浮かばないと顕著.いや,こんなとき用のネタ帳はあるのですが,ネタ帳に書いたときほどのパッションが湧かなかったり,逆にもりもり展開したいから納期が迫っているタイミングでは控えたかったりでね.やっぱり眠いの押して夜済ますか.
北方領土へのビザなし交流訪問に参加中,北方領土を戦争で取り返す是非に言及した丸山穂高衆院議員が「女性のいる店で飲ませろ」との趣旨の発言をして,禁止されている宿舎からの外出を試みていたことが分かった.別の政府関係者は「『俺は国会議員だ,ここは日本の領土だろ.議員なんだから不逮捕特権があるんだ』と発言し,外出しようとして,関係者に止められていた」と話す.
もうね.
昨日の帰宅が早かった時点で今夜の夕飯が決まりました.
最近の夕食が刺激あるドナルド続きで,和風テイストを欲していました.また,うどんの株主優待券が眠ったままです.でも,伸びた通勤時間を補うべく時間を有効活用するため新聞読みながら食べるのに,手前に食器類を構えるスタイルは不自由です.となるとドナルドしかいません.
ところが,帰宅が早ければ,寝る前に日記が書けます.すると,翌朝の時間に余裕ができます.すると朝,パン類食べながら新聞を読むこともできます.すると夜,新聞読みタスクが不要です.すると,夕食がうどんでも良いなと.
閑話休題,なかなか出すタイミングが無かったのですが,ここいらでうどん本数統計をグラフにまとめてみました.まったくもって誰得なんですが毎度,1本ずつ食べるのが私スタイルで,折角だから数えてみよう,そして記録してみようという試み.夜遅いときは小サイズ,そうでないときは中サイズを食べていました.記録漏れも多々ありますが,とりあえず約1年半前からの70食分のサンプルが溜まりました.

本当は総長を記録したかったのですが,食べながらの測量は定性的にしか行えないので,さすがにそれはいちいち面倒だなと.食べてる途中で切れる場合もありましたが,それは増やさずノーカウントとするルールで通しました.つまり,配膳時点の本数の統計です.ちなみに,チャンピオンは71本でした.食べてる最中に千切れに千切れたというより,元々端切れたものが茹でられた感じ.
画面上のアバターを使って動画配信を行う「バーチャルユーチューバー」.2016年にブームの火付け役となった「キズナアイ」以降,相次いでキャラクターが登場し,大手企業や自治体からも注目される急成長の分野だ.先月末に行われた「ニコニコ超会議2019」では,視聴者とVライバー(生放送配信のバーチャルユーチューバー)が次元を超えて触れ合う「超バーチャル握手会」も開催された.
初音ミクがライブステージのニュースを知ったときの衝撃に近いです.Oh! Japanese Crazy Hahaha!
オフィスのレイアウト変更に伴う「不要な荷物ぼちぼち捨ててくださいキャンペーン」の最中に姿を晦ました木製バインダー,記名もしている愛用の通称「板」の在処が判明しました.証言を得ました.おめでとうございます.
それは自席でのちょっとしたQAでのこと.話の要点をまとめるのにあたり,「いつもの板が無いと,机が塞がっているときにメモ取るの大変なのよね」とぼやきました.と,「板って,こないだ溶解ボックスに捨ててたやつですか?」と帰ってきました.ちょいちょい,そこもっとkwsk.
話によると私,先週末の掃除大会で,溶解処理対象の紙を詰めたダンボール箱へ,うっかり板をちょい置きし,そのまま忘れてしまっていたようです.封をした人,きっと紛れたバインダーの存在に気づかなかったのかもしれませんし,気づいても木製だから溶解Goのジャッジをしたのかもしれません.なるほど遺憾です.
これ以上待っていても出てこないことが判明しました.情報提供ありがとうございます.気を取り直して新しいの買うわ.
買いました.机の空きスペースが大抵横長で,いつもその向きにメモしているので,横型バインダーの方が便利な気がします.が,意識しないレベルで縦型に最適化されていると思ったので,今までと同じタイプのを買いました.A4縦型の木製バインダー.いらっしゃい.
政府は,いわゆる徴用工訴訟をめぐり韓国最高裁が日本企業に賠償を命じる確定判決を出した問題について,日韓請求権協定に基づき,第三国の委員を含む仲裁委員会の設置を韓国に要請した.境地に基づく仲裁委の設置要請は,1965年の日韓国交正常化以来初めて.
三権分立のため韓国行政が韓国最高裁に従うとか,韓国首相の「限界がある」発言とかで,一向に進展見られませんからやむなし.
先週末のロスト事件から丸一日過ごしました.社内移動の度に動線上で検索をかけるも板,出てこず.打合せとか他者席質問話の際,持参するこれがないと,手持無沙汰でもあり,メモ取りづらかったりします.ありきで最適された日常のため,無いことによるストレスと集中力欠如がアレ.1週間くらいは待とうと思っていましたが,思いの外アレなので,ここらが我慢の限界かも.私の心,海より広くなかったなと.
拉致被害者の帰国実現に向け,安倍晋三首相が「前提条件なし」で金正恩朝鮮労働党委員長との首脳会談を求める姿勢を明言する中,「国民大集会」が開かれた.今回の国民大集会では,政府に提出後,保管されていた1341万筆を超す署名が初公開された.
凄い量ですね.
AEONの株主優待は,購入額の3%のキャッシュバックです.それを受け取るため,受け取れる店舗まで足を運びました.引越前は通勤経路上で済ませられましたが,仕方ありません.で,特に安い日じゃなかったので,何も買わずに帰ってきました.不要なものは徹底して買いません.
通勤経路上から無くなったなら株を手放しても良いのではないか,という説もあるでしょう.いや,購入額に計上できる店は在るのです.株主優待とは別で配当金もあるし.
大相撲夏場所5日目から左膝の負傷で途中休場していた東大関貴景勝が8日目から再出場することが決まった.大関の再出場は1951年春場所の汐ノ海の例があるが極めて異例.
大関としての相撲ファンへの忖度か.
九州からの転入生2人.虫に慄いて裏返った声しか発しなかったナンちゃん,果たして慕っていた監督を追ってか,はたまたその娘を追ってか.ラッキースケベ梶に対する残念内田弟の図が面白い.しょっちゅう晩酌に来られるのはちょっと.
意外と禰豆子,言うこと聞きますね.沼の中より山の上の方が空気薄かったとのことですが,沼の中に空気がある方がおかしい.足場が無い中,上半身と下半身の捻りだけで渦潮作るとかとんでもないわ.
ずぼらが露見してにわかに虚勢を張る先生萌え.部屋掃除でうっかりBL本が出てきたりしないかとヒヤヒヤしました.Bパートは眠り姫回.周りを固める茨の会なる親衛隊員の統制とれた感じ面白い.前回が人魚姫てんこ盛りだった反動か,今回は殆んど出てませんでしたね.
あんな格好で玄関から顔出すのも,光熱にうなされた一人暮らしならやむなし.プリントを渡しに来ただけのはずなのに,思わず看病したり粥を作ったり番をしたりする愛が優しすぎる惚れてまうやろ.家元の娘の重圧とは別のところでハードモードでしたね.サークラ仕事が明るみになってもなお部に向かい入れる懐の深さ素敵.
EナツDとグレイ,同士討ちしている場合かと.実は生きてたルーシィジュビアの登場で終わる展開かと思っていましたがなるほど,ここでエルザか.目の前で子供達が傷つく姿を観ていられないとして,フェアリーロウで旅を終えるマカロフですが,そのマカロフの姿を観る名付け親メイビスの心中も察するに余りあります.
ユニコーンがやって来たと思ったら正体はソフィア.みんなたまげるでしょ.守護者をみんな閉じ込めて,友人や城の人をみんな洗脳し,ソフィア太刀打ちできず,ラスボス感強いな.図書館で並列世界のソフィアが助けに来るんじゃないかと思っちゃいました.
射るときは静かなだとしても,弓道会場で大声応援はなかなかどうかという気がしました.皆中同士で決勝戦.一体どんだけ的中し続けているのかと.まどか母は女優職休んで観戦に来たのかと思ってしまいましたが,それハグプリの水色や.
開口一番,フリーザ様降臨ktkr.中尾氏のエリート役しっくり来ます.500万円だろうが500円だろうが,用済みでポイするならどっちでも良いでしょう.悲哀ある話でした.ちゅーするぞw.
今回はチョッパーメインの出逢い回想話.雪を桜の葉に見立てる演出,鳥肌立った記憶があります.出逢い別れ話はサンジのもナミのも泣ける話ですわ.
兄ちゃん,役に立たないばかりか足を引っ張る役で扱いが不憫.そして妹有能.まさかとは思いましたが,りんかの赤い眼鏡は眼鏡オン眼鏡でした.そもそも,あんな量の業務を一人でこなすの無理ブラック.
川水浴びだの祭り褌だので赤面する風呂入りたい女子萌え.ブーストかかった痴話喧嘩を治める妙案だったのに,ねぬ神の幻術を蹴散らす脳筋,空気嫁.ま,結果オーライか.
昨日のロスト事件に引き続き,またテンション下がることが起きました.2週前に取れた奥歯の詰め物,外れました.またも原因は歯磨き.油断して変な力,入れちゃったのかな.付け直した噛み合わせにぼちぼち慣れてきたところだったのに,まさかのまたか.
アニメ制作会社「マッドハウス」が社員に違法な長時間労働をさせたなどとして是正勧告を受けていたことが分かった.「制作進行」担当の男性社員に少なくとも100時間の時間外労働をさせたほか,残業代の未払があったという.男性社員は最大で月の労働時間が393時間,37日の連続勤務など違法な長時間労働の結果,過労で帰宅途中に倒れ,救急搬送されたと主張.会社側に改善を求めている.
残業100時間超は残念ながら大して驚くことではありませんが,393時間労働やら37日連勤の武勇伝記録はなかなか.正常な労働時間は8時間×21日=168時間/月程度でしょう.393時間というと,週休1日の仮定でも15時間/日の労働.せめて真っ当な残業代が出るならまだ救われるでしょうけど.
で,制作進行って何?っていう人が多いと思うのは私だけでしょうか.スケジュールを管理する担当者間調整担当という認識でいますが.
調査兵団にいた時代の回想だったことに気付くまでちと時間がかかりました.私は劇場版経由でSeason3から入った人なので,元仲間に対する思い入れがいまいちなのですが,そりゃエレンたちにとってはね.そーいやアニってどうなったんでしたっけ.
勢力持て余し,「付け」が「ケツ」になったり「利子」が「シリ」になったりする杉田怖い.とりあえず,アフロの性別が判る回でした.浜松星人は女子もマッチョに紛れて区別つかないオチかと思いきや,女子がいなかったという.案内役のオトコの娘萌え.遠めにバレートスする演出,どこかで見たことあるのに思い出せません.日常だったかしら.
梶投手,終始ピリピリしてて近寄りがたい雰囲気でした,捕手の渾身のネタで緩んでくれてヨカタ.チームガハハもなかなか熱かったんですが,厚さ不足でしたか.
前回の展開をなかなかロードできなかったのは,先週がプチットクローバー回だったからか.アンチ魔法の剣でのタックル,なるほど魔封じとしても機能するわりと有効な戦い方なのかな.戦いの後,毎度みんなに口悪くも的確な指摘をするザクスの優しさに腐女子黙ってないぞ.
忘却を危惧されるほど久しぶりに再会した学年違いとはいえ,この敬語の使い方は距離を感じられて的確.実はみんな仲良くのこの渦中の先輩こそが内通者だったりするんじゃないかと.あらあらうふふ系は侮れませんし.
サイタマ,もう少し手加減してあげて.B級同好会長の妹のピンチに颯爽登場のS級悠木碧萌え.というか貴女,お歳は幾つなのかと.S級鬼サイボーグを倒して武闘会場へ向かっている怪人,どんな展開になるのかしら.
予言された災厄を防ごうと起こした行動が災厄の原因となっている罪深さ.親鳥に間違えて懐いてくる小鳥キモイ.食餌の練習用にミミズの形を模した食べ物にミミズ味を付けるセンス鬼畜.
ほぼ第1話からの繰り返し.そーいやこんなカットあったわ,と思うところもあれば,ここは観たことないけど前回はどんな展開だったかしら,と思うところもあったり.マインドコントロール的な技を使ってくるラスボス的な先生を訝しく思っていた人,どなたでしたっけ.
母性溢れる仙狐さんに,母星擽られるシロ,強力タッグです.資料用に買ったというロリサイズメイド服を仙狐さんに着せ,新幹線を前にしたシンカリオンハヤトよろしくテンション上げて写真フォルダをいっぱいにする隣人綾音氏いいね.
何食わぬ顔でパンを踏んづけて行ったり,帰宅したらいきなり家にいたりと,やっぱり神様の静かなサイコパス的脅威怖い.でも,黒幕は仮面の宇宙人なんでしょ.で,アンチ君は退場ですか.
10人ライブの次はいきなり10万人ライブありえん.気付けに酒を誤飲したお嬢,大丈夫か.代打として出た素人とはいえ,ステージにもの投げる観客,いかがなものかと.
1年の殆んどが冬,という台詞は聞き捨てならない.せめて冬日とか雪とかだったら解りますが,極地で寒かろうと,夏は3箇月あるもんじゃないのかと.パスポート持ってないのはお約束として,リアルだったら言語の壁があろうに.
もやしと脳筋の合同訓練.ここは剣術でももっと圧倒していただきたいものでした.魔物との勝負に失敗して負った怪我を治してもらっただけでシシリーに尻尾振る男共チョロいな.
何か今回は深みのある話でした.釘宮弟が宮野警官に狙われて,拳銃氏も眼鏡氏もナイスアシストで,欲望じゃなくて愛だった展開でこうね.今度はカッパ様の存在がカワウソ側にバレての盛り上がりね.
ポール牧で時間を止めるのは暗示でしたか.すぐ破られてしまったものの,アフロディ様お強いじゃないの.逃げられないよう二人プレスして地雷原へ放り込むプレイ,からのチュドーン展開,審判は何も言わなくていいわけ?
しばしば三石7号の存在を忘れてしまうのですが,それでも出てくるなり存在感濃いわ.25年近く昔と今とでは,そりゃアイドルの形も違いますね.ポラロイドでプロマイドとか,ブラウン管とお茶の間とか,リアルヤングにはもしかしてリアルで通じなかったりするのかしら.
万が一「雪が解けたら何になるか」と問われた際,憶えていたらこのサブタイトルどおり答えようぞ.引き続き期待を裏切らない透の良い子っぷりに心が澄みます.記憶をメンインブラックするダンディのバックグラウンドが明かされると,いろんなことが沁み込んできて納得.しかし,まさか落とし子だったとは.そしていきなり湯に放っちゃあかん.
即席七不思議.雨,再び降って良かったねで先輩GJ.一緒にニヤニヤしよう.ウサギに逃げられまいと,擬態と称して鼠の国のウサミミ装備のヤンキーカワイイ.でも近寄りがたい.
その評価,志望校は変えないのね.勉強会場に早めに来て予習しようとするも,チェリーと悪女のせいで悉く勉強できてませんな.アルバイトに来てるなら働け.
動きたくないキャラ設定面白い.で,見学志望の動機が水怖いなの萌え.今回はあまり残念炸裂しませんでしたね.アホ毛でビビッと来て,再会した旧友,ぼちぼち絶交解禁してあげても良いのではないかと思うのですが,どうしてそんなに頑ななのか.
見事に真っ二つ.操縦席を狙うことはできなかったのかね.一つ前例を作ってしまったので,他の洗脳相棒が奪還される展開に希望が持てなくなりました.
ブラックシンカリオンを獲られたショックで記憶喪失になり,エージェント時代の思考になったセイリュウ.を心配してダッシュでやってくるスザク.の担当と化している本庄の兄ちゃん.が語る「好きが感情を育む」説に対して何が好きなのかと問うフタバの姉ちゃんの罪深さ.
オフィスのレイアウト変更に伴い,不要な荷物をぼちぼち捨ててくださいキャンペーン実施中.過去の研修資料等,読み返すことのない紙資料を掘り返しました.残すもの,裏紙として再利用するもの,そのまま捨てるもの,溶解廃棄に回すもの,直ちにシュレッダーするものに仕分けつつ,ステイプラー針を外したりしました.
普段,メモ用に裏紙を留めた木製バインダーを机上に常備しています.仕分けの邪魔になるので,一旦除けていました.なんやかんやの後,諸々終了乙の時点で,これが行方不明になっていることに気づきました.少なくとも14時時点では手元にありました.結構探しましたが,結局見つかりませんでしたとほほ.
約10年前に100円ショップで出逢って以来,雑談級の情報共有のため他の人の席へ詣でる際にも携行するほど仲良しだっただけに,なかなかの喪失感です.行方不明発覚後,暫らくは仕事が手についていない自覚がありました.きっと無意識に携行して,その先で置き去りにしてしまったんでしょう.という思い当たる節々にも探しに行ったのですが,というかそもそも今日はそんなに携行闊歩イベント無かったんですがこの有様.キャンペーン中なので,置き去りになっていたら,しれっと廃棄されちゃうかな.背中に名前を刻んでいるので,還ってくることを1週間くらいは祈っておきましょう.思いよ届け.
JR東日本は,次世代新幹線開発に向けた新型試験車両「ALFA-X」の試験走行を報道陣に公開した.現在の最高時速より40km速い360kmでの営業運転を目指し,技術データを収集する.約400kmでの高速走行も数回行う.北海道新幹線が札幌までの延伸を予定する2031年春までの導入を目指す.
初めて
アーティファクトごとにゴーストが憑いているという設定なんでしょうか.時計台に吊るされていた女子の存在,若干忘れていました.ナイフ出してくる悪い若者にビビらない社会人,さすがゲーム台に難癖付けるだけのことはありますね.
二人とも春人さん大好きだなおい.あんだけ勇者業にしか眼中に無かった風なのにすっかりまんまとラブコメに組み込まれた千本木ベルノア萌え.
ダイエット番組で紹介されたポーズだから体操の一種じゃないかと思うのですが,ま,筋トレといってもいいですか.あの状態で目を覚ました下の妹,リアクションに困るでしょう.
予想できそうな展開なのに,なぜ内鍵をかけないかな.途中に挟まったノブナガ劇場マスク.これは円盤を買えば見せますよの演出なんでしょう.
オフィスのレイアウト変更に伴い,不要な荷物をぼちぼち捨ててくださいキャンペーン実施中.まだ使えるPCとかモニタとか補助記憶装置とかケーブル類とかその他もろもろ廃棄.勿体ない.かといって,好きに持って帰ってください,とは言えないんでしょう.理由はよく解りませんが,何となくそんな気がします.アルバイトを雇ってメルカリとかで売らせて,売値の半分を給与に充てるとかしたらWinWinなんじゃないの? って辺りをハンドリングするほど人員に余裕もないのかね.廃棄証明が必要だったり,情報資産の取扱,法人ならではの面倒事があるんでしょうね.
自宅にテレビを持たない女性が,自家用車に設置しているワンセグ機能付きのカーナビについて受信料契約を結ぶ義務がないことの確認をNHKに求めた訴訟の判決で,東京地裁は女性の訴えを退けた.
もう税金にしたらいいじゃん.受益者負担を貫くなら,受信機購入時に個人番号を提示するとかすりゃいいじゃん.そういう効率化のための個人番号なんでしょ.正直者が馬鹿を見るゴネ得システム解消してよ.
オフィスのレイアウト変更に伴い,不要な荷物をぼちぼち捨ててくださいキャンペーン実施中.近々,鉄分の回収業者が来るというので,PC等も捨てちゃう.昔開発したデバイスを稀に,未だ動かすことがあるので,WindowsXPの物理PCを寝かせていたのですが,もういいでしょ.
どさくさに紛れて,4TBの外付HDDを買ったことにより使わなくなった容量の少ないHDDを自宅から持ってきて,廃棄してしまおうかなと.といっても勿体ないお化けがいます.外付HDDだとそこそこ使いやすいので,とりあえず内蔵HDD単品で持っている分を捨ててしまおうかなと.外部ストレージは日常的には使わないので,使うときだけ治具で繋げげば良かろうと,費用優先で裸のHDDだけを買っていたのでした.
外付HDDは250GB.裸のHDDは320GB.外付HDDを解体してみたら,UATA接続でした.裸のHDDもUATA接続です.ということで,換装して250GBを廃棄することに.ケースを開けるのは簡単だったのに,閉じるのに苦労しました.1台目は30分くらいかかったかしら.コツを掴んだ2台目以降は10分くらいで仕事できました.ってことで夜更かし.眠いのにテンション上げてしまっての24時半就寝.
ユネスコ諮問機関のイコモスが,仁徳天皇陵古墳を含む「百舌鳥・古市古墳群」(大阪府)を,世界文化遺産に登録するよう勧告した.6月30日から7月10日に開かれるユネスコ世界遺産委員会の審査で,登録可否が決定される.天皇や皇族が葬られた「陵墓」が世界遺産になるのは初めて.
社会の授業で出てきた前方後円墳.名前からして四角い方が正面なんでしょう.そんなことより,読み仮名より漢字表記の文字数の方が多い珍しいシリーズにテンション上がります.こないだ調べたら「
株,無事買えました.指した値より安く買えたので,ちょっと得した気分です.この勢いで予てから買いたかったマクドナルド株を買ったり,入用の際に売り払った100円ショップ株を買い戻したりしたい気もしますが,こいつらは高値時期のようなので,落ち着いて様子見.
生保の契約本数,増えました.払い込んだ保険料が10年後に6割増しで返戻されるので,利回りとしては6%程度.活きたお金の使い方ができてる感じで良い感じ.
JASRACは,著作権を管理する楽曲をBGMとして無断で使ったとして,店舗側に使用差し止めと損害賠償を求める訴えを甲府,大阪,福岡地裁にそれぞれ起こした.市販のCDなどの録音物をBGMとして流す場合,店舗面積が500平米までなら,年額6000円の著作権使用料が必要だ.一方,著作権が消滅した楽曲,有線音楽放送などの業務用音源,放送中のテレビ・ラジオ番組を流すケースは,JASRACへの手続きが不要.ただ同じラジオでも,インターネットラジオを流す場合は使用料が発生する.
放送は提供事業者が支払っているけど,インターネットラジオは受信者が能動的にアクセスするから駄目――という理由らしいですが,だったらインターネットラジオ事業者は著作権使用料が不要ということなんでしょうか.直感的にそうでない気がするのですが.
オフィスのレイアウト変更に伴い,引き出し等の収納スペースが減るとのことで,不要な荷物をぼちぼち捨ててくださいキャンペーン実施中.15年前の入社時から毎週出している週間業務報告書の約8pの束,廃棄.こんまりメソッドに従ってときめいたものを残す方式だと,不要な思い出の品ばかりを残してしまうので,不適です.昔の案件の再参照しないような資料など,敷居の低いものから削っていきます.がんば.
陸上男子短距離のサニブラウン・ハキームが,米大学南東地区選手権100m決勝で,日本歴代2位となる9秒99(追い風1.8m)をマークし優勝した.日本選手が100mで9秒台に入ったのは,9秒98(追い風1.8m)の日本記録を持つ桐生祥秀に続き2人目.
こういう短距離走の記録を「約10秒」と表現し,「コンマ何秒を競っているんだから丸めちゃ駄目」とツッコミまれる芸人ネタを毎度,思い出します.ナイツでしたかね.
冒険者がいっぱいやられてて,附近で人畜無害な小動物が見つかったとあれば,そりゃそういう正体になるよね.元に戻す方法はないとのことですが,最初の遭遇の状態から察するに,経時で元に戻ったんじゃないかと.
部長に憧れている様子の村瀬声龍造たん萌え.店員さんかと思いきや,新入部員の挨拶に続いてコーチ宣言,この勇ましさはなるほど,姉御の方がしっくり来そう.逃げちゃ駄目だ.
親友だから厳しくしてくれないから野球がうまくならないから練習試合相手に指導を乞うと.親友でも戦友でもない新しい「私たち」という関係性,興味深い.
毎週の特定の時間だけ安売しているという店に足を運んでみました.日常的に買うものは少ないですし,何なら20日30日5%オフの日に3%還元の株主優待カードを使える店でまとめ買いしたりしてますが,どんなもんかと思いまして.まず,どこに何があるのかっつーか,いつものそれがどこにあるのか探すのが大変でした.で,結論,ものによってはこっちで買う方が安い.今後,これはそうしよう.
レジのところに貼ってあった株主優待云々の紙が目に留まりました.ってことがあり帰宅後,気になって調べました.配当率(=年あたりの配当金額÷単元数の株価)は1.6%でした.わりと良い方ではないでしょうか.驚いたのは優待率(=年あたりの優待品相当額÷単元数の株価)で,6.1%でした.だいぶ良い方じゃないでしょうか.
併せると7.7%です.10万円で株を買ったら,1年後に7700円ゲットできる計算.銀行の定期預金なんか,良いところで0.1%くらいでしょ.10万円を預けても,1年後に100円の利息しか付かない計算.もちろん,株価が1年後に10万円のままである保証はありません.とはいえ,銀行預金だって,インフレ起きれば貨幣価値下がりますけどね.
ここ1年の株価の推移を調べたところ,1年前から下がり調子です.キャピタルゲイン(=株売りで得られる差益)狙いの人には刺さらない銘柄だと思いますが,私は専らインカムゲイン(=保有株がもたらす利益)狙いなので,株自体を安く仕入れられる下がり調子の方が嬉しいのです.
つーわけで,久しぶりに株をポチってみました.買い気配が強かった(=買いたがっている人が多かった)ので,着実に買えるよう,高めで指値注文を出しました.本気で着実に買うなら,成行注文の方が良いでしょう.指値注文より優先的に処理されますからね.でも,意外と高値で買わされる恐れがるので,最悪この値段で買うけどもしかしたらもっと安く買えるかもしれないし買えなかったら無理して買わないよの指値注文の方が,なんか気が楽でしょ.
遥か遠くの銀河にあるブラックホールの撮影に成功した日本などの国際研究チームが,次の狙いを天の川銀河の中心にあるブラックホール「いて座Aスター」に定めた.周囲の物質は激しく動くため,鮮やかに姿を描いた静止画を作るのは難しいとみられる.そこで,米マサチューセッツ工科大の秋山和徳博士研究員らは,無理に静止画にせず,動画として再現することにした.
素人感覚としては,静止画より動画の方が難しいと思うのですが.だって,そもそも動画って複数の静止画でしょ.高解像度を諦めるという意味なんでしょうか.
学園祭,みんなに乞われた結果,不機嫌な女装由希,あらやだ.控室で抱きついては進んでウサギになるこの子怖い.おまけにこれで高校生とのこと.とんだ桜蘭高校ハニー先輩がいたもんです.この潘めぐみ声,なかなか聞きませんが,ここたま区分としときましょう.ヤンキーと電波の私服がいかにもですが,透含め,みんな良い子で涙出そう.
背負った木箱,よくあのサイズに収まるなと.地面や壁の中を泳いだり分身したりする鬼,さすがに双方とも,初戦で瞬殺ってわけにはいかないですね.予想どおりですが,背中から妹が飛び出して参戦するの滾るわ.
フォローのつもりが新事実を突き出して追い打ちをかける三連続面白い.人生オワタかと思いきや,冷血教師は面倒臭いクーデレでした.林間事故が尾ひれ付いて広まる大声友人GJ.交通整理乙の眠り姫の心中はどうなんでしょう.友人に背を押されて思い切る妄想人魚姫萌え.
愛のための筝が奇跡的に遺っていた展開胸熱.高級品属性はもはやおまけ.新入部員のサークルクラッシャーにも事情があるんでしょうが,今のところ嫌な人です.期待どおりには壊れず,雨降らせて地を固めてくれているようで.
そうか,思考を止める人が倒されたってことは,メイビスの思考も回るようになったってことですか.いっぺん死んでみてから戦場復帰した素直ガジルってば.いろいろ歪んでいる時神様のターンがまた来たかと思ったら,ナツ的な奴に沈められた様子.なんやかんやでブランディッシュはもうこっち側でしょ.
卒業式目前に守護者訓練生まで駆り出すなんて,どんだけ非常事態なのか.という認識でしたが,その訓練生が悪者捕まえてめでたしとか,先輩守護者全然使えないなという展開.
このサブタイトルで宇宙アイドルが出てくるならその正体が宇宙怪盗なのはお約束でしょ.その上,プリキュアやノットレイダーのことを知っている風でもあったので,もしかして今後,5人目のプリキュアになったりするんじゃないかと.ただのドーナツにプレミアを付けてスターカラーペンを競り落とそうとするお嬢様強か.
時代ですね.というか,初めはそんな熱血指導について行っている風だったのに,途端にハラスメントとは怖い.カワウソをコーチにしたりヌリカベをコーチにしたり,いろんな意味でこの人凄い.
アラバスタ懐かしい.2002年頃の放送でした.これ以上差し出せるものがないっつービビに仲間の命も一緒に賭けろっつールフィの台詞に涙腺が.魚人島は2011年末頃.あれからももう7年半経ってますね.
同級生だと思ったらカワイイの方が先輩なんですね.個人的にはカワイイじゃない方がカワイイと思います.第一人称が自分の名前のボーイッシュ狡い.カワイイ聞きすぎて頭おかしくなりそうです.頑張って「カワイイ」を「良い感じ」に置換しながら聞くようにしてますが.
木ノ葉丸の従妹ってことかなこれ.勘違いしつつ無駄に気合入ってて空回りしてるの萌え.果たして,ここを舞台に描かれたイチャパラの内容を知ったら,尊敬する六代目らに対してどんな感情を抱くのか.
新聞ラテ欄に新番組マークが付いていたので観てみました.観たシリーズもあれば,途中抜けしたシリーズもあれば,観てないシリーズもあります.今回はアイチ主人公なんですね.こっちの方が好き.でも,時間軸とか世界観がどうなっているのか,よく解りませんでした.一応調べてみたら,イナズマイレブンよろしく,パラレル展開の設定みたいですね.Wikipediaを表にまとめるとこんな感じでしょうか.
| 開始 | シリーズ | 主人公 | アイチ |
|---|---|---|---|
| 2011年 | カードファイト!! ヴァンガード(2011年版) | 先導アイチ | 中学生 |
| 2012年 | カードファイト!! ヴァンガード アジアサーキット編 | 先導アイチ | 中学生 |
| 2013年 | カードファイト!! ヴァンガード リンクジョーカー編 | 先導アイチ | 高校生 |
| 2014年 | カードファイト!! ヴァンガード レギオンメイト編 | 櫂トシキ | 高校生 |
| 2014年 | カードファイト!! ヴァンガードG | 新導クロノ | 大学生 |
| 2015年 | カードファイト!! ヴァンガードG ギアースクライシス編 | 新導クロノ | 大学生 |
| 2016年 | カードファイト!! ヴァンガードG ストライドゲート編 | 新導クロノ | 大学生 |
| 2016年 | カードファイト!! ヴァンガードG NEXT | 新導クロノ | 大学生 |
| 2017年 | カードファイト!! ヴァンガードG Z | 新導クロノ | 大学生 |
| 2018年 | カードファイト!! ヴァンガード(2018年版) | 先導アイチ | 中学生 |
| 2019年 | カードファイト!! ヴァンガード(続・高校生編) | 先導アイチ | 高校生 |
米国防総省は,北朝鮮が9日に発射した短距離ミサイルと見られる飛翔体について「複数の弾道ミサイル」だと断定した.弾道ミサイルの発射は,国連安全保障理事会決議違反で,北朝鮮の非核化に向けた米朝交渉に影響する恐れがある.
案の定「極めて遺憾」と「緊密に連携」の台詞が載っていました.そんなことより毎度目にする「弾道ミサイル」の定義って何よ.これも載っていました.ロケットエンジンで一定の高さまで上昇した後,放物線を描きつつ自然落下で目標に到達するミサイルで,核・化学兵器などの重量物の搭載が可能――とのこと.一方,飛行機のように水平に低空飛行できる巡航ミサイルは捕捉されにくい特徴がある――とのこと.ワカリミが深まりました.
唯一の降雪日を楽しみにしていたのに部屋から出られないブランチ不憫.Bパート,どんなRGが出てくるのかと思ったら,釣りでした.
めいめい接触.空腹アンチくんに対して,頭髪洗浄までしてやる六花ってば世話焼きね.神様と怪獣談議で盛り上がってから,妙に突っ込んで来られ,そりゃちょっとキョドるわ.梅雨ちゃんに見える怪獣さんに神様の正体を知らされる響くんの今後の身の振りに注目.
あのマネージャ,顔は広いようですが,やり口が前世代的で不安しかない.一方のロディ,わりと頼れるじゃないの.観客10人の初ライブ,の場を提供した人,にかかってきた電話の内容が気になりますが,連れ帰りに来た兄ちゃんの今後も気になります.
ゲスト出演を賭け,Love Me Tearと勝負するPure Palette.確かに双方,らしさが醸されてていいじゃない.これでエルザフォルテ的な人が元相方に再会する勇気になるかというと,なかなかどうかという気がしますが,そこは都合主義で.
魔法の結果じゃなくて過程をイメージする――か.なるほど,ここで前世で科学等を学んだ経験が活きてくるわけですね.して,中二臭漂う名前で始まった研究会は,新英雄による魔法塾と化して,科学の勉強とか始めたりするのかしら.
家族にも女装なりすましがバレないのありえない.さては知ってて知らぬふりか.だとすると痛いわ.そしてなるほど,実は血縁なかったか.で,謎キャラだったサラ,その理由はそれか.
確かに以前は高貴な感じでしたけど,泥臭いこともやり始めたというね.で,明日人に接触してきた父.再会したことは内緒に「した方が良い」ではなく「してくれ」という辺り,オリオン臭がするんですけど.
田野アサミ氏の外の走り屋の魂,どうしてそんなに熱量急上昇するかな.からの三石先生の怪演が光るわ.リアル鶏面白い.佐賀人だったらもっと楽しめたんだろうなと思いながら観てました.
というより子離れできない父ちゃんの習慣病.毒島の飼っているブサカワのウサギのどこにそんな量が蓄えられているのかと.というかどんだけ出すんだよと.
肉フェスをそんな如何わしきフィルタで見るという発想が凄い.父ちゃんだけでなく,担当編集氏もなるほどそういう人なのね.こんな人たちに囲まれたらなるほど勉強できない.
クラス内での俳句の発表が嫌だからと言って,頑張って風邪引こうとか,凄いわ.gkbr先生に対してなこ,そんなタイミングでそんな表情と台詞をぶっ込まなくても.
物語とは別のところでサンラータンに対する表情芝居を豊かにしているオニギリってば.村を襲ったゾイド乗りに恨みがあったとしても,十把一絡げで狩るのはいただけませんな.
いきなり何が始まったのかと思ったら,コンテストに出すあずさの作品でしたか.家に押しかけられて,ヲタの常套の2個セットの通販物が届いて,勢いシンカライザーの変身ポーズを決めてみせるフタバさん,観てるこっちが恥ずかしい.
新聞ラテ欄に新番組マークが付いていたので観てみました.といっても続編っぽいですね.ヴァンガ部に一人足りないっつーパラレルワールド的な感覚.櫂君は別の学校だった気がするので,欠員はコーリンか.で,教科書に載っているような中二病は何者か.
何かあると思ったらそういうことか.奇跡的に手術を成功させた1番の人,を贔屓目に評価しすぎている親馬鹿.親友との友情で不公平な采配を揮っていた監督が辞任するのは順当.そしてようやく花澤香菜の外の人が登場か.
コンタクトレンズがフィーチャーされていたのは気づきましたが,後半では忘れていました.高木刑事のチョンボで増水後の川にドボンしたコナン,えらいピンチですね.最後はなかなかの人情話でした.
持っている6口座の内,ゆうちょ銀行だけが唯一,自宅から最寄駅までの間で記帳可能です.先日,記帳したところ,年月日の最初の1字が抜けていました.プリントヘッドが不調だったんでしょうか.いや,そーいや5月から始まった方の表記でしたね.
| 年月日 |
|---|
| 31-03-11 31-03-20 31-03-31 1-05-03 1-05-06 |
残り5口座の内,最多利用の銀行も,引越前は自宅から最寄駅までの間で記帳可能でした.引越後の自宅最寄は数駅移動したところっぽい.が,会社近くでは記帳できそう.ということで,行ってみました.なるほど,場所把握.通勤経路上の乗換駅の近くにもありそう.今後はここでお世話になりましょう.
2020年東京五輪の観戦チケットの抽選申込が始まった.申込開始直後からアクセスが集中して公式サイトに繋がらず,コールセンターにも問合せが殺到,繋がらない状態が続いた.17時までのアクセス数は約130万件に上った.大会組織委員会は「先着順ではないので,時間を置いてアクセスしてほしい」としている.
1万円くらいくれるなら観戦も吝かではありません.
11時頃に始まった会議が昼休みの半分まで食い込みました.食べるの遅いにもかかわらず気合を入れなかったせいで,パンだけ食べ残りました.明日の昼食に回すことにします.で,そのサイドエフェクトが発動したお陰かたまたまか,午後,あまり眠くありませんでした.但し夕方,だいぶお腹が空きました.うーん,眠いよりは良いかも.昼食代抑えられるし.でも,以前も試して,睡魔回避にならないケースも多々あった気がします.そもそも成人男性の摂取カロリーに達していないのが定常化しているのってどうなのかってこともあったりでむむむ.
2025年大阪・関西万博の展示会場で,JAXAが火星を探査機で撮影して生中継することを検討していることが分かった.探査機は同年8月,火星付近に到着する見込み.会期中の5〜11月に継続的に中継すれば,前半は火星に徐々に接近していく様子を伝えられる.関係者によると,万博での宇宙からの中継は過去に聞いたことがないという.
1970年の大阪万博では月の石が展示されましたね.私は東京五輪同様,全く関心ありません.
美味しく食べる姿に癒されているというおっちゃん,なるほど.戦闘力を表すのに関取の階級を使うとは,わりと面白填まっているじゃない.狭い電車内であんなゴツイ敵さんに襲われるとか怖い.
妹の目の前では喧嘩をしないという金属バットですが,実はその妹も凄腕ヒーローだったりしないのか.A級ヒーローが苦戦する中,登場したB級1位組,の方が善戦してたりしますか.
どうせなら施設へ侵入する前にセーブしとけと思うのですが,残数制限があるかもという配慮だったり,セーブ地点へ戻ってからの展開を描く尺の都合だったりがあるんでしょう.マスコミの人,最近は味方のわりと良い人に描写されていましたが,そーいやマスゴミでした.
相変わらずARIAとは別の角度から癒してくるヒーリングアニメ.シロ様がもっと永続的に居付く話だと思いましたが,とりあえず顔見せ程度か.初めの仙狐さんよろしく,尻尾もふもふは拒否.となると,仙狐さんはすっかり慣れたもんというところか.
十四松の理解不能な自由っぷりに既視感.先日Animageでえいがのおそ松さん記事を読んでいた際,ふと閃いて原因に辿り着けました.ネプチューンのホリケンでした.
東京・池袋で乗用車が暴走し,母子2人が死亡した事故で,検査の結果,アクセルとブレーキに異常がないと判断されたことが分かった.運転していた旧通産省工業技術院の飯塚幸三元院長は事故当初,「アクセルが戻らなくなった」と説明していたが,警視庁はアクセルとブレーキの踏み間違いが原因の可能性が高いとみて捜査している.
証拠保全が済んでて逃亡の恐れがないから逮捕されない,ってのはそりゃそうだと思いますが,「元院長」という敬称的接尾辞に上級国民感を覚えます.
明けましておめでとうございます.連休中も普段と大差ない起床時刻で通していたので,朝が辛いってことはありませんでした.仕事,いろいろ思い出しのアイドリングが必要です.その点,午前中は社内会議,午後は社外会議で,良いリハビリになった気がします.相変わらず,いや,いつも以上に眠いので,今日はまだ21時半ですが,とっとと寝ようかしら.
こっちを強くすればするほど敵も強くなるRPG,なんかありましたね.それ以上に裏ノーナ強し.くノ一的な奴も一緒にこっちに出てきたりしないのか.
道端にスケボーが落ちていても,持ち主に何言われるか判らないので,私だったらスルーですが,さすが女子かう生.エンジョイしていますね.背面蹴り脚の方が楽に進めるでしょう.
帰蝶は知らない風のリアクションでしたが,二人目は知っている風でしたが,真実はどちらか.あのなりで20歳超はにわかに信じられません.いきなり三つ巴戦に投入された巻き込まれヒロインってば.
河童が出てきたり魂抜かれたりとか言うから,尻子玉的なさらざんまいかと思いきや,まさかの麦人ボイスで温泉ウォンバットで地球防衛部まっちょ.何がどうしてこうなるか.
主人公沢村,ようやく投球を見せる場面が来ました.ただ声が大きいだけの人と云われていたのの汚名返上.直球,気持ちよく填まりますね.
森で幻覚キノコを食べた設定で過去のプチットクローバー詰め合わせ回.オチはなしか.
家計簿を締めるのはもちろん,アニメの消化やら,閾値下げて録った実写いろいろやらも無事,着地しました.午後は再びの歯医者で,歯周病検査やら歯石除去やら.Animageの4月10日発売号もなんとか,読み終えました.いろいろプラスアルファをやれるほどの長期連休だったんですが,相変わりませんでした.実写の閾値を下げちゃうとこんなもんよね.どんだけ連休来ても暇を持て余すことなく金を使わず過ごせそうな気がします.で,閾値を上げられず,実写沼に填まって夜更かし.てへぺろ.
図書館を通じて俳句の普及を図るため,現代俳句協会と図書館流通センター(TRC)は,TRCが指定管理者として運営する全国15都府県の29図書館に「図書館俳句ポスト」を設置する.利用者が投稿した作品をTRCが1箇月ごとに回収し,協会に設ける委員会が選句する.優秀作は各図書館や協会の機関誌「現代俳句」で発表する.
なかなか良い協業じゃないでしょうか.ただ,略称がちょっと残念.Toshokan Ryutsu Centerですかね.
何度も安く買い叩かれ,バイクやらボートやらを壊され,死にそうなところを救われたことで仮を作られたおやじ,不憫でしかたありません.
みんなして自虐キャンペーンですか.と思ったら,スイッチ入った主人公,いきなり声を上げて,不安になるテンション急上昇.からのワッショイワッショイ.近所迷惑大丈夫か.があっての披露会.とりあえずめでたしか.
どうして兄弟について何でも知ってるという前提なのかな.アーティファクトを狙って来たら三つ巴.さて,自称マジシャンのその能力に種はあるのか.
鎧の巨人にいろいろ考えさせて時間を稼ぐことが目的かと思ったほどにモノローグ語りましたね.で,鋼化してても効果ある新兵器投入.巨人さんに最後の手段がある風の口ぶりでしたが,姿が見えない仲間が口から登場したりするんでしょうか.
田中真弓氏と潘めぐみ氏の地球送りに奔走するラル側の人,頼もしい.で,これがガンタンクってやつですか.どの部分で操縦するの? 上でも下でも行けるの?
素人集団なのに勝てるとでも思ったのかと.練習試合っつーことで,相手はちゃんと高い意識で臨んでいたと.これまでの遊びじゃない子の気持ちが解るような展開でした.
両腿の付け根附近の筋肉が痛いです.超回復しちゃうぞ.ひーこらしながら朝マック行きました.今日こそ今日はもう家から出ません.
バラエティ番組を多めに録ったせいか,Animageの消化がまだ済んでいません.うそやばい.明日頑張ります.
さて置き,アニメの消化は順調.なぜかソフィアが録れていませんでした.プリチャンも録れていませんでした.HDDレコーダの空き容量は充分なのに,なしてか.そーいや,収録番組数に上限がありました.すっかり忘れていました.素人か.急いでごみ箱を空にして,BORUTOを8分遅れで録り始めました.脚以上に心が痛いです.
総務省は「こどもの日」を前に人口推計をまとめた.外国人を含む14歳以下の子供の数は前年より18万人少ない1533万人で,38年連続の減少となった.総人口に占める割合は12.1%で,45年連続で低下した.比較可能な1950年以降,人数,割合とも過去最低を更新し,少子化に歯止めがかからない状況が明らかになった.
ジリ貧デストピア.
髪の分け目の変更を変装とはどんな自信家か.漢字違いで的を射ない占いを信じて奇抜な髪型を決めてる痛い矢作部長いいね.相変わらず仲良しの二人にニヤニヤが止まりません.
木嶋相手に空振三振の可哀想な旧友,良いキャラしてます.何の余裕か,妙に上から目線ながら,いっぱいいっぱい感が拭えない青ってば.の父ちゃん,まさか英語のいかがわしき参考書まで作っているとは,仕事できる人ですね.
アルの残念がこれでもかと光っていました.うっかりランドセルで登校しちゃうばかりか,翌日は一層小学生スタイルで,しかも引き返して着替えるのを止めてそのまま登校するとは,ある意味勇気あるわ.テニスのサーブが打てない田中なこ萌え.で,テニス部員なのに同等のアルは残念である.
仇でありながらスクラップ寸前の見限られたゾイド相手に複雑な心境のドレイク.の本心が知りたいところ.ドレイクの幼少期から側近していた最終兵器wの人,結構長いのね.
ハヤトの本気すぎる鉄道学力試験,それカルトクイズや.鉄分測る気ないでしょ.9000もの駅名を2週間程度でさらっと覚えたフタバさん,何気に秀才で.皆人それぞれで,なかなか参考にならないか.弟,よく食うな.サブタイトルにある「ナンバーズ」も,冒頭に出てきたシャショット的なやつも,スルーですか.
結局秘密兵器を使わず終いか.監督の考えが解りません.温存された二人以上に悔しがる観客席の妹@内田姉萌え.スカウトに来た友人の父監督は,サブタイトルの指摘から察するに,そこそこ見る目あるか.
なるほど,青酸化合物自体に毒性は無くて,胃酸と反応して生ずる青酸ガスが有毒ってね.勉強になります.よく云われるアーモンド臭ってのがどんななのか,後学のために知っておきたいところですが.
大岩をも断ったという前フリがあっての,硬いのの斬首成功.この鬼にやられた兄弟子の大人数に,果たしてあの爺さんは齢何歳なのかと.烏じゃなくて雀がお供の悲観主義者,キャラ立ってるわ.
解ってなかったり隠してたりの揚げ句にアレな富田親指姫萌え.からの罰の掃除でお約束のありえへん展開.サウナに隠れるなんて,良い子は真似しちゃいけませんね.で,出口で鉢合わせの鈴代人魚姫は,幻を見た説の確度が最も高いと判断したようで,どんだけなのかと.
そんなこったろうと解っているものの,心震えました.お約束演出ですが,演奏の背景で人生回想ぶっこむの狡い.途中で調子崩れて,でも仲間の力で持ち直すの滾る.演奏終了後,余韻があって,そのままED突入憎い.さて,次回はあの演奏の数日後辺りから始まるのかしら.
仕合を回避するため,まさか二人して自害の道を選ぶとは.で,もしものための輸血魔法て,だてにジュビアじゃない.で,あっちもこっちも何とか命を繋いだっつーね.ただ,ENDの正体を知らされた怒髪天グレイの今後が心配.もはやブランディッシュに心配はありません.
ソンリッサは笑顔の意.えれなは6人姉弟ですか.楽しそう.あ,私は結構です.普通が良くて変が嫌という価値観,どういう風に刷り込まれてしまうんでしょうかね.
悪いのはいつも人間,という描かれ方が多い中,人間側にも未来を拓く志があるということで,妖怪側こそ逆に既得権益にしがみついているようにも見えて,なかなか考えさせられます.しかも,喧嘩両成敗というか,妖怪は消えて,発電所建設は白紙になって,誰も勝ってないなと.
魚人チームの大名行列を止めたサボの故郷の現王.ガープの塩対応が見ていて気持ち良い.難破から救われたサボが革命軍参謀に上るまでの話も観てみたい.
不調なミツキを診察する体で回想話.ツクラレ話からちょっと間が空いたので,ちょっと懐かしかったです.
大型連休の旅のしおりにGoogle地図を切り貼りした際,参考までに同じ縮尺で現住市の地図も並べてみました.故郷市に比べ,こんなに小型だったのね,と再認識しました.故郷市786平方kmなのに対し,現住市は18平方kmでした.ちなみに,山手線内の面積は64平方kmだそうな.
という背景がありつつ,朝マックの帰り,陽気だし,アニメの消化等も快調だし,市を歩いて一周してみようかな案が浮上しました.思っただけで別の機会で良いかなバイアスがかかりました.時間のある連休にでもやらかそうかなと.いや,今でしょ.思い立つ日が吉日で,鉄は熱いうちに打つべき.冒険でしょでしょ?山手線では踏破に10時間余りかかりました.面積4分の1なら外周長2分の1かなってことで,5時間くらいかかることでしょう.
と思いながら9時半過ぎに出発.もちろんコンデジ持参で.途中,2リットルのスポーツドリンクを買いました.重くても貧乏性が勝りました.そんなこんなでひーこら帰宅.6時間半かかりました.34000歩くらい.ま,山手線のような楕円軌道ではなく,出っ張ったり引っ込んだりしてますからね.スポーツドリンクは7割方飲み終えていました.結果オーライサイズでした.そして結論,現住市は広くないが,狭くもない.
地域間で異なる最低賃金について,自民党が夏の参院選で公約とともに取りまとめる政策集に一律化の検討方針を明記する方向で調整していることが分かった.相対的に低い地方の最低賃金を底上げすることで,人件費が増えても一定の利益を上げられるよう企業に努力を促し,日本全体の生産性向上などにつなげる狙いだ.
現状,最低賃金は守られているんでしょうか.ブラック企業対策はいまいち実効的なのか疑問ですし.
同じチーム内から造反者が出るものと思っていたら,まさかの全取っ換えか.アメリカ的で凄いな.ここまで頑張ってきた爽やか一之瀬も無念でしょう.そもそもこんなことを協会が許すかねって,それこそオリオン財団の特技か.
観光すると嘯いて,ちゃっかり商談決めてる宮野声,意外とちゃんとしているのか.弄られる田中ちんちくりん美海萌え.化粧を落とす前に温泉へ忍び込む算段だと思いましたが,どうしてゾンビスタイルで参ったのか.
改装中の透の住処を調べた「興信所」なるものにピンと来なかったので調べました.探偵みたいなもんでした.根が悪い連中の改装中の透に対するケアは棚上げか.慌ててたことを指摘されて赤面してみせる由希萌え.
3月末,新聞の集金の人が来ました.引越前からクレジットカード払いにしているのですが,改めてそんな感じの手続が必要だったんでしょうか.とりあえず現金手渡しし,改めてそんな感じの手続をしてみました.
4月頭,家計簿の月次決算として,クレジットカード払いの明細を確認しました.3月末に購読料が引き落とされています.はて,前払いとか後払いとかどこかでボタン掛け違ったのかしら.まいっか.
5月頭,新聞の集金の人が来ました.いや待て.事情を説明しました.早急に確認してくれるっつっても連休明けになりますがってことで,今回は現金渡しませんでした.どんな管理系になっているのかしら.
元AKB48のメンバーでタレントの高橋みなみさんが,40代の男性と結婚したと公表した.「令和」の初日に当たる1日に婚姻届を出したという.高橋さんはSNSで,「『令和』新しい時代の始まりと共に家族として歩むことを決めました」と綴った.
的なリア充が多いようで,役所の皆さんお疲れ様です.ちなみに,さすがにこの人は存じとります.録画番組消化の合間に観てしまうミライモンスターに出てますよね.
ベルノアとノーナの戦闘開始.の瞬間にまた新しいの出てきたと思ったら,裏ノーナ発動でした.さすが面白い設定持ってますね.妹,来た理由は何でしたっけ?
紙ナプキンで折った動物,そんなにシャキっとするかね.ストロー工作で檻を生成.それもこれも女子高生がやりそうな迷惑です.良い子は真似しないでね.
戦国時代から来たと説明したところで,こいつヤバいやつ思われて終了.帰蝶もまだアウェーですし.で,城の資料館に来て,ようやく現状を認識.したかと思ったら新キャラ召喚,忙しい.
寄り道したがったり,食後に代金払わずアルバイトを楽しんだり,ハッチもなかなかですね.ヒザクリガーとか五十三惑星とか,なるほど東海道中膝栗毛から着想しているわけですが,Animageで知らされるまで,まさか阪口声のロボJPS-19が十返舎一九から来ているとは気づきませんでした.
そーいや女性陣,actIIになってまだ紹介されていませんでした.田舎の幼馴染萌え.騒音源と同じクラスになった女子はマネージャかしら.格好がいつもと違うと判別できん.前髪切った春ちゃん萌え.
暴牛のチャラ男の弟,このまま暴走するんじゃないかと思ったのですが,わりと理性はあるんですね.で,アスタといがみ合ったまま,引き続き選抜の試合続行.魔法帝,懐広いな.気取った見下し魔法騎士団を潰そうとするザクスが,ワンパンマンのヒーロー狩りと被ります.
サブタイトルがうまく訳せなくてもやもやします.コスプレ潜入,逆に目立っていないかと.雨降って地固まる,というほど喧嘩した感じもありませんでしたが,メーとフー,良い師弟コンビじゃないの.
金属バットと蝙蝠が掛かっているのかと思いきや,ただ金属バットでした.怪人を倒したら先輩怪人が出てきて,それを倒したら更に長老怪人て.こんな忙しいときにヒーロー狩り,空気読んであげて.
借りた家宝を池に沈めるとかありえん.いや,家宝はミラーボールじゃなくてその箱.なるほど,入れたものをミラーボールにする箱か.そりゃ家宝だわ.Bパート.現代社会にはレンタルおじさんとかいうサービスがありますね.
どう足掻いても亜由美死亡の世界線に乗ってしまうの.こんな方法もあったなと,いろんなパティーンの死因があり,意外と思いつけませんでした.回避に役立った証拠写真は,別の世界線の未来から持参したということかしら.
そうじゃそうじゃ.しかし,信用して任せたというのに,結局起こしてくれなかったとなると,若干おこじゃないかい.ブレーカーの落ちた暗室でしゅんとしている家電怖い和氣仙狐さん萌え.
現地集合の林間学校.ジャンクPC一式担いで電車移動の皆さん乙.岩山怪獣が現れたどさくさに,水着姿で男二人と逃げおおせていたとしてからかわれ,もう何とでも言って状態の宮本六花萌え.
AIが発達すると,働かなかったり詐欺を働いたりするロボも出てくるか,なるほど.前回散々な目に遭ったのに,今回も貸した高級車を潰された宮野声,泣いていいよ.そんな宮野声からの信用を失い,大事なプラモデルも失った入野声,泣いていいよ.
どっちがハニーでどっちがキャットでどっちがリフレクトでどっちがムーンか.ミライさんの祖先は封魔系か.お姉さんコンビはキャラ付けが良いね.中身入れ替わるSF系のシャッフルも観たかったぞ.
魔人を大して強くなかったとか言っちゃう孫の規格外っぷりが楽しい.ラスボスっぽい家庭教師,さすがにやっつけるにしては時期尚早でしょう.
久慈,悪い奴じゃなく悪そうな奴でした.そして何?女装一稀に対するリアクションがアレじゃないかと.眼鏡はどうしてオフでサッカー少年姿なのかと.
今日は10連休6日目.帰省中の日記を書いたり,新聞を読んだり,撮った写真を現像したりしました.JPEG化した写真を,いつもは宅ふぁいる便やfirestorageで送っていましたが,PCにLINEアプリを入れていたことを思い出し,アルバムを作ることにしました.楽.
午後は歯医者.2週前に取れた金具を取り付けに行きました.初診なので,会員証を作ったり,レントゲンの記念撮影をしたり.とりあえずパイルダーオンは済みましたが,案の定,何するか判りませんが次の予約も入れされられました.またしばらく続くかな.はてさて,低い臼歯に慣れてきたところが再び元の高さに戻ったので,また慣れ直す必要がありますよ.
テレビCMやドラマ出演で知られるモデルの松島花さんが1日,会社員男性と婚姻届を提出した.松島さんはインスタグラムで,額装した「入籍」の文字を掲げた写真を公開,し「私は平成元年生まれなので,令和に変わるこの日に入籍したいと思いました」と綴った.
的なリア充が多いようで,役所の皆さんお疲れ様です.ちなみに,私はこの人を存じません.
やること無いので遅めに起床.明けましておめでとうございます.食堂で軽食を頂きました.トースト久しぶり.両親の迎車で祖父の墓参り.没後丁度3年.
毎年札を頂いているという定義山の寺へドライヴ.私も以前,来たことがありますが,何年前だったか全く思い出せません.それだけ興味がないということでしょう.この山の名前,我が家では「じょうげさん」で通っていましたが,青い案内標識に「Jogi」のローマ字表記があることに気づきました.おい.
雨はまああがりましたかね.沿道にはまだ桜が咲いていました.納めるべき昨年の札を忘れてきたというので,とりあえず参るだけ参りました.ここいらで有名な巨大油揚げが昼食まいう.
放水中のダムを眺めたりと寄り道しながら実家へ.別行動だったにもかかわらず,弟の車も妹の車も同じタイミングに着きました.令和の奇跡.
先日,誕生日を迎えた母が還暦に達したということで,チョコペンで何か書かれたケーキやら花束やらを贈呈.令和のサプライズ.妹が謀ってくれました.私は写真撮るだけの平常運転.母が主役になったのは一時で,衆目を集めるのはやっぱり捕まり立ちを始めた姪でした.
一通りまったりしたら夕食.駅近くの居酒屋で乾杯.1時間半の程よい時間で終了.在来線と新幹線で状況.うっかり見事に各駅停車の新幹線だったので,結構長く感じました.22時半頃に家について,わりとすぐに閉店しました.
皇太子さまは1日,第126代天皇に即位された.30年余り続いた「平成」が終わり,「令和」に同日改元された.平成時代の天皇陛下は4月30日で譲位し,上皇となられた.天皇の譲位は江戸時代の光格天皇以来202年ぶりで,憲政史上初めて.天皇陛下は59歳で戦後生まれの初の天皇となられた.
剣璽等承継の儀などにて,三種の神器の内,